列车自动驾驶技术是提高列车运输效率、保障列车运行安全的关键选择和必然趋势。高精度的速度与位移曲线跟踪控制算法的研究是促进列车自动驾驶向前发展的关键之一[1]。目前,随着先进控制算法的成熟发展,已有诸多学者[2-3]利用其对列车无故障下的跟踪控制进行了研究,并取得了相对满意的跟踪效果。然而,实际上动车组运行环境复杂多变,需要运行工况进行不间断的切换,加之其运行速度及运输工作强度的不断提高,动力单元的牵引/制动执行器在长期高负荷运转下可能发生牵引电机轴承过热、牵引变流器冷却单元故障、制动不缓解、制动抱死等故障[4-5],同时其牵引/制动时用于信息传输的网络系统[6]在多重复杂环境及长时间的工作中也会出现各种故障。在工程应用中,针对此类故障,根据故障导向安全原则通常是紧急制动或限速运行,同时由于故障的发生通常是瞬时的,会出现故障发现不及时等难以避免的情况,这也成为限制列车自动驾驶技术在轨道交通领域发展速度的主要因素之一。当动车组动力单元牵引/制动执行器或者信息网络发生某些故障需要切除其牵引与制动后,将会导致故障单元动力部分或完全缺失。作为安全苛求的系统,通过实际运行线路积累的大量动车组故障及事故案例,各型号动车组相关文献[7-9]对于牵引/制动力各比例的切除做出了预案。例如,当某个或多个牵引变流器故障,导致牵引力和再生制动力降低,就需要切除相应动车牵引/制动力继续运行;再者就是作为控制系统核心组成部分的单元信息网络系统故障导致其无法传输相应的牵引/制动信息,此时可通过切除相应单元限速运行。因此,有必要研究上述故障场景下的控制问题。为有效应对此类问题,近年来相关学者将容错控制作为故障前的主动预防措施,广泛应用于故障环境下的列车安全运行控制策略的研究中。陶涛等[10]通过分析高速列车牵引系统故障的可能性,设计状态观测器对其进行故障诊断,其次基于浸入与不变自适应设计容错控制器,并对相应的浸入与不变自适应估计率进行重构,从而实现了执行器故障下的列车安全运行。LIU等[11]针对牵引系统执行器发生故障和存在外界扰动的高速列车,提出一种基于反步法的自适应容错控制器,实现未知执行器故障系统的有效位置跟踪。GUO等[12-13]考虑了执行器故障及其输出饱和影响,分别将动态面控制方法、伪比例积分微分滑模控制与自适应控制结合,所提控制器在满足执行器输出饱和约束的前提下,对于存在执行器效率部分缺失故障具有很强的容错能力。YAO等[14]在可能发生多个随机故障的情况下,建立一种新的高速列车多质点随机跳跃系统模型,基于自适应扰动观测器设计了一种新的复合自适应抗扰动容错控制策略,以保证列车的速度和位置跟踪误差系统稳定。然而,以上文献主要讨论列车发生故障使动力部分缺失的情况,对于多质点动车组因动力单元故障使动力完全缺失的情况,未进行充分考虑。列车运行过程中,动力单元牵引/制动相关设备故障需要切除该动力单元牵引/制动,很可能会使单元动力完全缺失而无法以渐进或突然的形式提供牵引/制动力[15],这会直接导致该多质点列车系统变为具有更强耦合及复杂关联特性的非线性欠驱动系统。所谓欠驱动系统[16],是指系统独立的控制输入维数少于其自由度的一类系统。其中,欠驱动自由度不受驱动力的作用,但仍然存在与其余自由度之间的耦合力作用,所以通过直接控制其余自由度可间接实现对欠驱动自由度的控制。机械系统产生欠驱动的原因主要分为以下2个方面:其一是系统结构设计本身就具有欠驱动特性,如吊车系统、欠驱动机械臂等;其二是系统正常工作下是全驱动的,但由于某个驱动机构发生故障导致控制输入维数减少,变为欠驱动系统。针对此类欠驱动系统设计控制算法,可作为其全驱动系统状态下的容错应急控制策略,所以研究欠驱动系统无论是在实际应用还是理论上都具有重要意义。针对欠驱动系统控制问题,由于控制输入个数偏少,往往需要利用各机械自由度的耦合关系来达到控制目标,这就加大了此类系统的控制难度。常见的控制方法有反馈线性化、能量无源化、模糊推理及自适应控制等[17]。本文主要研究基于能量方法的控制方案,而受控拉格朗日函数法(Controlled Lagrangians,CL)作为能量整形控制器设计技术的一种,因其具有简单的数学形式和明确的物理含义,自1997年由BLOCH等[18]首次提出以来,已被许多学者研究并推广开发。李茂青等[19]将CL法应用于非线性的永磁同步电动机,在广义力中引入速度一次项的保守力,通过原始方程与受控方程相匹配的条件,所得匹配控制律实现了位置与速度的全局渐近稳定。LIU[20]针对四旋翼引入一对虚拟角代替欧拉角,得到基于虚拟角度的拉格朗日系统,利用CL法在省略了陀螺力项使匹配条件求解简化的同时,实现了四旋翼姿态的稳定控制。对于应用CL法处理非线性系统的控制问题,其难点是通过求解含有偏微分的匹配条件的解,得到相应的匹配控制律。目前,CL法的大多数研究成果主要集中于速度与位置平衡点镇定控制器的设计,而时变轨迹跟踪控制是其另一个研究方向,并且尚未得到有效解决[21]。LIAO等[22]也只是通过在平衡点附近反馈线性化得到的线性化机械臂模型中,对CL法处理简单欠驱动模型轨迹跟踪问题做了相关表述。基于此,考虑动车组运行时存在某个动力单元牵引/制动相关设备突发故障,进而导致其单元动力需被切除而完全缺失的工况,在此背景下,为实现动车组安全自动驾驶以及精准停车,本文将CL法由位置镇定扩展到时变轨迹跟踪的跟踪控制上,并应用该方法对故障列车进行跟踪控制器设计,使其可以保持期望的运行计划继续行驶。在控制器设计过程中,保留并利用系统潜在的非线性,通过构造期望受控系统与原始系统相匹配,从而得到非线性光滑反馈控制律以协调受控故障列车的各动力单元,使其按期望运行。在控制器设计过程中,由于直接选取受控能量作为系统的Lyapunov函数,这给闭环系统的稳定性理论分析带来了极大的便利,同时找出了期望轨迹及控制器参数取值的限制条件,简化了该控制器的设计步骤,也为CL法用于处理欠驱动非线性系统跟踪时变参考轨迹控制问题提供了新思路。
1 符号定义
为方便公式的书写及推导步骤的清晰表示,用
















2 单欠驱动度动车组模型的建立
动车组列车采用动力分散的驱动方式,为便于进行列车纵向动力学分析及控制算法设计,将一节动车与一节拖车(1M1T)组合为一个动力单元[23]进行划分,则4M4T编组的动车组可看作由4个动力单元构成的4质点模型。各动力单元的纵向受力分析如图1所示。

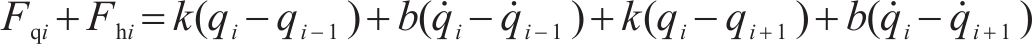
列车运行过程中,纵向方向受到牵引力/制动力、基本阻力、附加阻力、车间作用力及惯性力的共同作用。第





















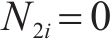
列车在运行过程中,各动力单元的牵引/制动相关设备都有可能发生故障并需要采取切除其牵引/制动的应急措施,从而导致某个单元出现动力完全缺失的现象。本文选取具有代表性的第2个动力单元发生此类故障的场景,即此时该单元的输入

其中,












3 跟踪控制器设计
本文的控制目标是利用CL法对故障下的单欠驱动动车组进行跟踪控制器设计,使故障列车系统通过剩余动力单元的执行器控制故障单元,继续跟踪期望运行曲线,从而保证整条线路按预定计划正常安全运行,并最终实现故障单元及所有正常单元的精准停车性能需求,以达到容错控制的目的。
假设1:动车组各动力单元所跟踪的期望位移




3.1 构造期望的受控系统
选取期望位移、速度与实际运行轨迹的偏差



其中,受控惯性矩阵

定义受控系统的受控广义力为

将



令矩阵





依据式(6)的结构特点,参考文献[25]中的引理2.1与引理2.2,首先定义一个反对称矩阵:




记




接下来,设计受控系统的广义力

其中,陀螺力矩阵






选取如下形式的矩阵

其中,




3.2 匹配条件及匹配控制器形式的确定
如果受控方程式(4)与原始误差方程式(5)相匹配,则证明由式(6)确定的控制输入是满足要求的,那么由式(12)的第2行导出系统匹配条件表示为:



根据广义跟踪误差变量






由矩阵












其中,式(19)是关于矩阵


为求解其余动能方程式(20),通过任意给定的正定矩阵


其中,4阶矩阵
引入一个函数行向量:

通过



定义2个新的矩阵表示为





其中,



从式(25)确定出未知对称矩阵

对于任意正则的受控动能,9个其余动能方程式(20)可被同等数量的独立函数满足,其由矩阵
将匹配条件式(14)、式(15)、式(17)、式(18)用








综上所述,新的动能方程式(27)、势能方程式(28)、耗散力相关方程式(29)和式(30)、期望轨迹匹配方程式(16),正则条件及显式陀螺力方程式(11)组合起来,即为原始误差系统与受控系统相等价的匹配条件。
由上文可知,被控系统的第











3.3 匹配条件及具体匹配控制律的求解
1) 受控动能的求解
令


其中,



矩阵











2) 受控势能的求解
由式(28)可知

为满足受控势能的正定条件,取其通解为:

其中,



通过直接计算得到受控势能的Hessian矩阵为:

因为Hessian矩阵行列式大于0,则可知Hessian矩阵正定。当





3) 求解耗散力相关矩阵
由式(29)可得







为满足



同理根据式(30)可以求得





因耗散力矩阵



4) 求解具体匹配控制律
将求解出来的











4 稳定性证明
定理1:如果匹配控制律参数按如下要求设置:

同时,期望参考轨迹的选取满足式(16),那么由式(40)~式(42)确定的控制律可以在
证明:直接选取受控能量






通过Lyapunov稳定性可得期望的闭环受控系统稳定。接下来讨论系统的渐近稳定性,用反证法证明在
首先,假设在集合


此时,在轨迹上应存在某点



其中,



将式(40)~式(42)、式(45)、式(46)及式(16)代入原始系统方程式(5)中可得:

当且仅当距离误差满足




5 仿真结果分析
本节选取国内某线路实际运营编组方式为4M4T的CR400BF型高速列车作为研究对象,对其速度、位移轨迹跟踪情况及停车精度问题进行验证分析。考虑该列车的各动力单元的车长为50 m,将第四动力单元车尾所在位置视为距离原点,假设列车行驶在无隧道线路,线路外部环境坡道和曲线作用情况如图2所示。各动力单元的实际载重分别为120、110、115和120 t,根据新起草的铁道行业标准TB/T1407.2—202X中《列车牵引计算第2部分:动车组》,列车单位基本运行阻力参数及车间耦合作用力的参数取值如表1所示。

| 参数名称 | 实际值 |
|---|---|
| 单位滚动基本阻力参数c0/(N∙kN-1) | 0.41 |
| 单位机械基本阻力参数cv/(N∙h∙km-1∙kN-1) | 0.001 3 |
| 单位空气基本阻力参数ca/(N∙h2∙km-2∙kN-1) | 0.000 111 |
| 弹性刚度系数k/(kN∙m-1) | 2 000 |
| 阻尼系数b/(kN∙h∙km-1) | 500 |
取无故障的各动力单元的期望速度与位移轨迹都相同,选取其光滑的期望速度曲线如式(48)所示:


对于发生牵引/制动相关设备故障的动车组第二动力单元的期望轨迹


为更好地体现所设计控制器对于跟踪效果的有效性,假设动车组在初始时刻及运行过程的第600 s时,因外界扰动使其实际位移与速度和期望位移与速度有较大偏差。将满足闭环系统控制目标要求的各跟踪控制器参数分别设置为:

通过Matlab仿真得到动车组各动力单元的速度与位移曲线跟踪情况,速度、位移跟踪误差曲线及无故障的剩余动力单元控制输入曲线如图4~图7所示。




从图4~图7可以看出,初始时刻及第600 s时设置了由外界干扰产生的误差,在如图8所示的光滑反馈控制输入的作用下,各动力单元的实际位移及速度都稳定地跟踪着期望的位移与速度运行曲线轨迹,且速度与位移跟踪误差都快速趋于0,从而使全车实现速度追踪及精准停车的运行控制需求。由于所得控制律光滑,这将更有利于提高列车运行的平稳性,以此来保证运行中的乘客乘坐舒适度。

图9为相邻各动力单元间车钩力作用情况,可以看出初始时刻及第600 s时,各单元间车钩力纵向冲击力较大,而后随着运行工况的平稳变化,单元1-2、3-2的车钩力始终存在,这是因为故障第二动力单元的控制是通过与其直接相连的车钩力的耦合作用实现,同时从图9看出其车钩最大作用力远小于车钩最大纵向拉伸1 000 kN与纵向压缩1 500 kN[24]。该仿真结果表明,所提跟踪控制器可以通过列车各动力单元的车间耦合连接,在直接控制剩余正常动力单元的同时利用相邻车钩力协调故障单元,从而保持有效控制。

图10为所构造的受控系统能量的变化情况。根据定理1的分析,为保证受控系统稳定,受控能量正定且单调递减。从图10可以看出,在初始时刻及第600 s后,受控能量不断衰减并快速稳定收敛到0,这满足闭环误差系统能量的变化规律,使系统状态趋于期望的控制目标,以此达到精准的跟踪控制。

6 结论
1) 将CL法扩展到因某个动力单元发生故障需切除该单元牵引/制动使单元动力完全缺失后呈现欠驱动特性的动车组自动驾驶跟踪控制问题上,通过设计相应的欠驱动光滑反馈跟踪控制律,从而增加列车运行的平顺性。
2) 理论分析和仿真结果表明,在控制输入减少的情况下,所得控制器仍然可以实现故障动车组系统速度与位移的渐近跟踪及精准停车的控制需求。
3) CL法在欠驱动系统中需要通过求解匹配条件才能获得控制律的具体形式,这使得其应用局限于能够精确建模且模型参数已知的机械系统。事实上,多数机械系统由于本身构造及运行环境等因素的影响,其模型参数未知,所以下一步将结合模型参考自适应控制[26]处理参数不确定的优势,研究基于CL法的欠驱动系统自适应跟踪控制问题,并进一步将外部线路环境相关参数当作未知的时变参数进行鲁棒控制的研究,同时考虑输入受限的情况使研究更接近于实际运行要求。
李茂青,王元,周怀庆等.计及一个单元动力完全缺失的动车组自动驾驶跟踪控制[J].铁道科学与工程学报,2025,22(04):1480-1491.
LI Maoqing,WANG Yuan,ZHOU Huaiqing,et al.Automatic driving tracking control of electric multiple unit considering complete power lack of a unit[J].Journal of Railway Science and Engineering,2025,22(04):1480-1491.

