回弹模量是反映路基土回弹特性的重要指标,也是评估交通荷载下路基抗变形能力的重要参量,自提出伊始已发展成为表征路基填筑质量和动力性能的重要参数之一[1-2]。SAS等[3]基于室内动三轴试验和多层线弹性理论模型,分析了长期动荷载作用下,不同路基层回弹模量随循环振次的变化规律。LIU等[4]指出温度对冻结粉质黏土回弹模量存在显著影响:当温度处于-5~-1 ℃时,回弹模量随循环振次增加而显著增加;当温度降低到-5 ℃以下时,回弹模量增速放缓。NGUYEN等[5]分析了8种不同细粒土动三轴试验结果,得出回弹模量受含水率影响较大,试样含水率越高,回弹模量越低。SU等[6]研究指出铁路下部结构夹层土以细-粗粒土混合物为主,并通过动三轴试验得出当细粒土含水率大于其塑限时,动偏应力增大会导致夹层土回弹模量降低。CUI等[7]研发了一种提高路基土抗冻融循环能力的外加剂,并分析了冻融循环次数、围压大小、外加剂掺量对路基土回弹模量的影响。基于间歇性循环动三轴试验,CHEN等[8]讨论了加载阶段对路基回弹模量的影响,并提出了考虑加载间歇的回弹模量预测公式。李亚峰等[9]指出试样加载时积累的超静孔隙水压可在加载间歇期有效消散,试样抵抗后续动荷载能力得以提高。以上研究主要通过常围压循环动三轴试验,研究路基填料的回弹特性和回弹模量,并未考虑加载过程中填料围压可能发生变化的情况。POWRIE等[10-12]研究表明,交通荷载作用下,路基土上除循环变化的偏应力外,也包括循环变化的围压。对此,不少学者开展了循环变围压条件下的动三轴试验,并探索了此条件下路基填料的动力响应特性。基于循环变围压的动三轴试验,黄珏皓等[13]指出软黏土的累积塑性应变随循环围压幅值的增大而减小。SUN等[14]提出了循环变围压条件下,考虑应力比、应力路径、加载次数等因素的累积塑性应变经验公式。GU等[15]对比循环变围压和常围压动三轴试验结果,发现常围压试验可能会高估饱和黏土的动强度。吴建奇等[16]探讨了平均应力不变条件下,循环变围压应力路径对红黏土回弹模量和累积变形的影响。刘家顺等[17]研究发现循环变围压会促使试样孔隙水的排出,进而导致试样出现更高的体积应变。YANG等[18]研究指出增大循环变围压的幅值,会引起粉质黏土试样超孔隙水压增大,并导致其产生更高的累积轴向应变。谷川等[19]发现相比常围压动三轴试验,循环变围压会降低饱和软黏土试样的回弹模量,且围压幅值越大,回弹模量降低幅度越明显。上述研究主要通过围压循环变化的动三轴试验探究了土体的动力变形特性和回弹模量。面对既有路基加固方法多需上道作业的不足,冷伍明等[20]提出了一种新型预应力路基加固结构,主要通过施加水平预应力达到改善路基服役状态,并实现路基加固和路基病害整治的目的。既有研究表明,预应力结构加固路基,能够显著改善路基土的应力状态,从而降低路基的加速度和动位移响应[21],并提升路基边坡的稳定性[22]。实际应用中,路基预应力存在分级多次施加的工况:比如,路基施加预应力后,经运营测试发现未达到预期加固效果的情况,此时需进一步增大预应力,以达到理想的加固效果;又如,路基采用预应力加固后已达到了预期的加固效果,但由于线路扩能运输的需要,如列车轴重、编组长度、运行速度的增加,致使原本达到加固效果的路基再次出现劣化,此时同样需要再次增大路基预应力,以增强加固效应。以上路基预应力分级多次施加的工况会相应引起路基土围压的分级增大。然而,既有关于路基土的动三轴试验研究多为常围压或循环变围压加载,与预应力路基实际服役时路基土围压随水平预应力分级增大的受荷形式存在明显不同。目前,对于同一试样分级变围压条件下路基填料回弹变形和回弹模量的演化规律尚不明晰,有待开展相关的试验研究探明此条件下路基土的回弹响应特性。对此,采用朔黄重载铁路粉土路基填料制备试样,开展了同一试样分级变围压的循环动三轴试验,系统分析了变围压振次间隔、变围压次数、动应力和含水率对填料回弹变形和回弹模量的影响规律,并提出分级变围压条件下路基土回弹模量的预测模型,为评估预应力的加固效果、研究其加固机制提供参考和指导。
1 试验材料及试验方案
1.1 试验材料及试样制备
粉土路基填料取自朔黄重载铁路基床表层。朔黄重载铁路修建年代较为久远,由于修筑时线路沿线缺少级配良好的粗粒土路基填料,路基多采用沿线的细粒土改良后填筑。试验用粉土的有关物理参数如表1所示。由表1可知,粉土的塑性指数IP小于10,液限wL少于40%,依据《铁路路基设计规范》(TB 10001-2016)的相关条文[23],属于低液限粉土。
| 相对密度Gs | 最大干密度ρdmax/(g∙cm-3) | 最优含水率wopt/% | 天然含水率wc/% | 液限wL/% | 塑限wP/% | 塑性指数IP |
|---|---|---|---|---|---|---|
| 2.71 | 1.96 | 11.80 | 15.00 | 26.00 | 18.20 | 7.80 |
制备含水率11.80%和15.00%的试样开展试验。试样的直径和高度分别为39.1 mm和80 mm,试样的压实度为0.95。试样的主要制备过程如下:根据目标含水率,取一定质量烘干土,按指定含水率计算并称量所需蒸馏水,拌合均匀,随后装入密封袋,并置于保湿器中不少于48 h,以保证土样含水率均匀。测量土样含水率符合要求后,将配置好的土料分5层均匀填入圆柱形钢质制样筒并击实。根据目标压实度、土料含水率、填料最大干密度和试样体积可计算得,含水率11.80%的试样,每层称取土料的质量为39.99 g,而含水率15.00%试样,每层称取土料的质量则为41.14 g。将每层所需土料倒入制样筒,并击实至目标高度后,用钢针将制样筒中土样表面2~3 mm深度刨毛,避免试样出现分层界面和不均匀的情况,而后加入下一层土料,如此反复,直至完成5层击实,由此可保证试样达到目标压实度,从而得到所需的试样。
1.2 试验仪器与试验方案
试验仪器为GDS动三轴试验系统,如图1所示。该系统主要包括仪器底座、压力室、试验控制系统、数据采集系统以及反压控制系统。仪器可施加的最大动荷载为10 kN,可施加的荷载频率范围为0.1~5 Hz,且可满足同一试样分级变围压的加载需求。除人工装样外,固结与加载均自动进行,可有效减少由人员操作带来的误差。

由文献[24]可知,路基土体所受动荷载实际更接近“M波”,但预试验发现,由于仪器设备加载性能的限制,采用“M波”对试样进行长期动力加载时,其加载曲线难以保持稳定,从而可能导致试验结果失真,因此试验采用正弦波动偏应力模拟列车动荷载对路基土的往复作用。列车对路基的加载频率可由列车运行速度与单节车厢长度之比求得。我国重载列车运行速度一般不超过100 km/h,而我国不同型号重载货车的车厢长度一般为12~15 m[25],此时加载频率f为1.85~2.31 Hz。综上,试验时将加载频率设定为代表性的2 Hz。图2(a)和图2(b)分别为变围压试样的轴向应力与围压时程曲线。施加动偏应力前,先施加围压σ3,并记录试样的轴向变形,当变形保持稳定时,即认为固结完成。随后施加15 kPa静偏应力模拟轨道结构自重在路基内引起的竖向应力,最后对试样施加动偏应力σd。对于分级变围压试验,加载过程中,按一定振次间隔,分级增大试样的围压。

本文分别开展了同一试样常围压和分级变围压的动三轴试验,其中常围压试验的围压保持为15 kPa;变围压试验的初始围压σ30同为15 kPa、变围压幅度Δσ3为5 kPa、变围压的振次间隔Nc包含100、200、700和2 000等4种方案,具体的试验工况见表2。试验终止条件综合考虑动荷载循环振次和试样累积变形,当循环振次大于10 000或者轴向应变达到10%时,试验即终止。
| 编号 | 加载 方式 | 含水率wc/% | 动偏应力σd/kPa | 围压σ3/kPa | 变围压振次间隔Nc |
|---|---|---|---|---|---|
| T-1 | 常围压 | 11.80 | 180 | 15 | |
| T-2 | 11.80 | 210 | 15 | ||
| T-3 | 15.00 | 90 | 15 | ||
| T-4 | 15.00 | 150 | 15 | ||
| T-5 | 15.00 | 180 | 15 | ||
| T-6 | 15.00 | 210 | 15 | ||
| T-7 | 15.00 | 165 | 15 | ||
| T-8 | 分级变围压 | 11.80 | 180 | 15,20,25,30,35 | 2 000 |
| T-9 | 11.80 | 210 | 15,20,25,30,35 | 700 | |
| T-10 | 15.00 | 90 | 15,20,25,30,35 | 2 000 | |
| T-11 | 15.00 | 150 | 15,20,25,30,35 | 2 000 | |
| T-12 | 15.00 | 180 | 15,20,25,30,35 | 100 | |
| T-13 | 15.00 | 180 | 15,20,25,30,35 | 200 | |
| T-14 | 15.00 | 210 | 15,20,25,30,35 | 100 | |
| T-15 | 15.00 | 165 | 15,20,25,30,35 | 2 000 |
2 试验结果与分析
2.1 回弹模量计算方法及轴向应变时程分析
路基土在交通荷载作用下的总应变由可恢复的弹性应变(εe)和不可恢复的塑性应变(εp) 2部分组成。图3为轴向应力与轴向应变的滞回圈示意图,回弹模量是动偏应力与回弹应变的比值,计算图3中滞回圈两端点连线斜率即为当前振次的回弹模量,具体如式(1)。


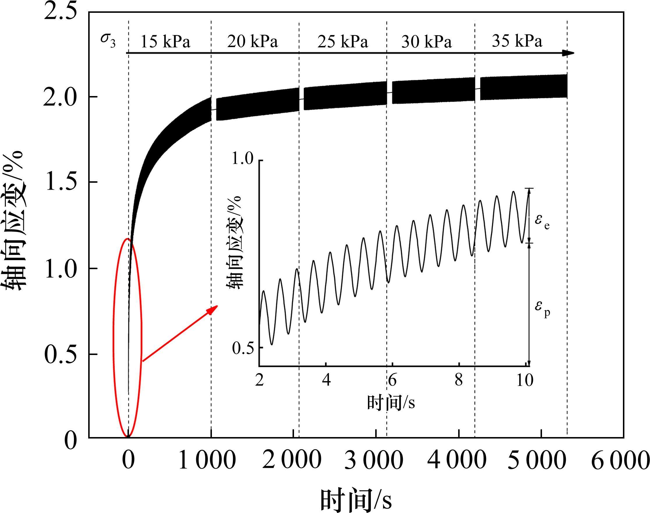
对于变围压加载的试样,围压每变一次即为一个加载阶段。每一加载阶段均取该阶段最后5循环振次计算所得回弹模量的平均值作为该阶段回弹模量稳定值。图4为含水率15.00%、动偏应力150 kPa、变围压振次间隔2 000下,分级变围压加载试样的轴向应变时程曲线。由于仪器限制,围压的分级变化并非突变,而是分级短时(约100 s)线性变化(见图2(b))至目标围压,期间不可同时进行动偏应力加载,因此变围压的同时存在短时加载间歇。既有研究表明,动三轴试验中,黏土刚度会出现软化,并在加载间歇期恢复的现象[26],其主要原因在于黏土试样经历刚度软化(与黏土结构扰动有关)后,在后续间歇期,内部结构和联结发生了适应性调整和抗力恢复(类似黏土的触变性)。本文动三轴试验用土为粉土,其物理力学特性和黏土有很大差异,因而分级变围压的动三轴试验中并未表现出如黏土展现的刚度软化现象。此外,梅慧浩等[27]开展了粉土的间歇加载动三轴试验,发现短时间歇并未导致粉土试样的轴向应变在后续加载阶段呈现显著降低的现象。综上,考虑本文分级变围压动三轴试验中,粉土试样基本未呈现如黏土所示的刚度软化现象,认为短暂间歇期对其回弹特性的影响较小,下文开展分析时均未考虑这一短时间歇的影响,并将粉土试样回弹模量的变化主要归因于分级变围压的影响。

2.2 常围压与分级变围压循环加载下回弹模量发展趋势
图5为不同条件下,常围压与分级变围压循环加载试样回弹模量随振次的变化曲线。如图5所示,含水率15.00%、动偏应力90 kPa时,常围压连续加载试样的回弹模量在加载初期随振次增加而增大,而后逐步趋于稳定,稳定值约为102 MPa。变围压试样第1加载阶段类似于连续加载,此阶段回弹模量发展规律与连续加载试样基本一致;而后,每增大一次围压,均会引起试样回弹模量的瞬时增长。变围压试样第2加载阶段回弹模量稳定值约为103.09 MPa,略大于同等条件下连续加载试样,最终各加载阶段稳定回弹模量相较于连续加载试样提升1.5%~8.75%。2种加载方式下试样回弹模量的差异表明,分阶段增大围压能够显著提高试样抵抗动弹性变形的能力。其原因在于,围压的增大加强了土样颗粒之间的咬合作用,限制了内部颗粒的滑动与滚动,最终使得试样的回弹模量增大,变形特征发生转变。因此,通过水平预应力增大围压能够提高路基土承受荷载和抵抗弹性变形的能力。此外,谷川等[19]基于循环变围压下的动三轴试验指出,试样的回弹模量随循环变围压幅值的增加而减小,与前述分级变围压下路基土回弹模量随围压变化趋势有所不同。

2.3 变围压振次间隔的影响
图6为含水率15.00%、动偏应力180 kPa、不同变围压振次间隔下,试样回弹模量随循环振次的变化曲线。对比每隔100振次(见图6(a))和每隔200振次(见图6(b))改变围压的试样,前者最终稳定回弹模量约为114 MPa,大于后者的109 MPa。图7为不同试验条件下试样的累积塑性应变随振次的变化曲线。当动偏应力210 kPa、初始围压15 kPa、含水率15.00%时,变围压振次间隔100的试样最终累积塑性应变值约为5.135%,显著小于振次间隔200时的数值(即9.104%)。究其原因在于,对于加载初期受到较大侧向约束(即围压)的试样,其累积塑性应变率较小,因而随循环振次的发展,最终稳定的永久变形相较于未增大围压或较晚增大围压的试样明显减小。2类试样在相同的总循环振次下,变围压振次间隔为100的试样处于高水平围压状态的振次所占比例更大,因此,无论是回弹模量还是累积塑性变形,相较于较晚进行加固的试样呈现出更好的增益效果。与此同时,既有研究表明,循环变围压下,围压幅值的增加会加剧试样的累积塑性变形[17-18]。而由图7可知,分级增大围压可降低试样的累积塑性变形,并使原本呈塑性破坏的试样逐步转变为稳定型,可见分级变围压和循环变围压条件下路基土的响应具有各自的特点。


2.4 含水率的影响
图8为动偏应力180 kPa、初始围压15 kPa时,含水率11.80%、变围压振次间隔2 000以及含水率15.00%、变围压振次间隔200的试样回弹模量随振次变化曲线。其中,含水率大(15.00%)的试样变围压振次间隔较小,而含水率少(11.80%)的试样变围压振次间隔则相对较大。如图8所示,对比含水率分别为15.00%、11.80%的试样,回弹模量的最终稳定值,后者大于前者。可见,尽管变围压振次间隔小的工况对试样的动力变形稳定性有利,但含水量大的试样在较小变围压振次间隔下的回弹模量值仍显著小于最优含水率下的试样。究其原因在于,当试样含水率大于最优含水率时,土颗粒间自由水增加,粒间黏聚力和颗粒摩擦力降低,并且降低幅度高于初期增大围压所引起增长幅度,最终在宏观上表现为试样抵抗弹性变形的能力下降。鉴于前述,就回弹特性而言,早期分级变围压加固处理带来的回弹模量增益并不能抵消路基土含水量增大带来的负面效应。可见,即使工程中已采用必要方法(如预应力加固法)对路基进行加固处理,保持路基的排水性能、避免路基因排水不畅含水率增大,对于维持路基稳定性和减小路基变形仍然非常重要。

2.5 动应力的影响
图9为不同围压下稳定型试样回弹模量随动偏应力的变化曲线,其中变围压振次间隔为2 000。由图可见,对于稳定型试样,土体回弹模量随动偏应力的增加而增大。事实上,回弹模量随动偏应力水平的增加会呈现先增大后减小的变化趋势[28]。其原因在于,当动偏应力小于试样破坏阈值时,会引起路基土的压实效应,且动偏应力越大,对路基土的压实效应越强,试样的回弹模量则越大;当动偏应力增大到一定值时,试样颗粒之间摩擦力以及黏聚力无法再承受外部荷载,颗粒骨架重新排列,试样从稳定型逐步过渡为破坏型,而破坏型试样按动应力-动应变滞回圈计算的回弹模量则会有所减小。此外,动偏应力较小时(σd=90 kPa),围压增加5 kPa引起的回弹模量增量为1.71~2.64 MPa,而当动偏应力较大时(σd=165 kPa)时,这一回弹模量增量则为0.04~1.31 MPa。可见,对于稳定型试样,分级增大围压对路基土回弹模量的增益效果随动应力的增大而有所减弱。

根据上述分析可知,分级变围压试样的回弹模量发展规律与常围压连续加载试样显著不同。因此,有必要在以上结论基础之上,提出同时考虑变围压条件和受荷历史的回弹模量预测模型。由于破坏试样从加载到破坏所需循环振次较短,其回弹模量并不会随着循环振次发展到一个稳定值,且工程中对破坏试样的回弹模量预测并无实际意义,故后文仅针对稳定型试样建立路基土的回弹模量预测模型。
3 回弹模量预测模型
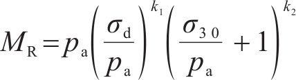
目前,我国铁路行业规范并没有明确规定路基土回弹模量预测模型,而《公路路基设计规范》则采用通用组合模型对稳定状态路基土的回弹模量进行预测[29],见式(2)。该模型通过体应力和八面体剪应力考虑土体的应力状态,并在路基工程领域得到了广泛应用。

式中:k1、k2、k3为拟合系数;pa为标准大气压强,取101 kPa;θ为体应力,



值得注意的是,以上公式仅适用于常围压连续加载的情况,而重载铁路运营过程中,常通过施加侧向约束等加固手段对路基进行加固(如预应力路基),路基填料可能经历不同的围压变化过程,因此有必要在式(2)的基础上,充分考虑分级变围压条件以及路基土回弹特性的主要影响因素,建立变围压条件下的路基土回弹模量预测模型。
式(2)通过体应力θ与八面体剪应力τoct考虑应力状态的影响,但无论是体应力还是剪应力都同时包含主应力σ1和围压σ3的贡献,因此由体应力和剪应力带来的动应力、围压捆绑效应难以单独区分和考虑各因素对回弹模量的影响。为更直观地考量动应力和围压的影响,分别用σd和σ30替换θ和τoct,改进后的回弹模量公式见式(3)。

分级变围压动三轴试验的第1阶段类似于常围压连续加载试验,因此式(3)可直接用于预测分级变围压和间歇加载下路基土第1阶段的稳定回弹模量。为扩大样本容量,另收集了既有文献报道的同种土样在同一含水率(15%)间歇加载下的第1阶段回弹模量试验结果[8](见表3),并与本文试验成果一并用于拟合确定式(3)的经验系数k1、k2,具体拟合结果见表4。由表4可知,拟合决定系数R2大于0.90。可见,将θ和τoct替换为σd和σ3不仅能直接反映动应力和围压的影响,同时也能获得良好的拟合效果。然而,式(3)仍不能用于预测分级变围压条件下后续各阶段路基土的稳定回弹模量。对此,在式(3)的基础之上,引入围压增幅因子α以考虑分级变围压对路基土回弹模量的影响,具体如式(4)所示。

| k1 | k2 | R2 |
|---|---|---|
| 0.170 9 | 0.356 5 | 0.96 |
式(4)中围压增幅因子α应能考虑变围压次数T的影响。此外,从完备性角度而言,式(4)应能退化应用于分析常围压连续加载条件的路基回弹模量,即T=0时,α应为1.0。对此,本文提出采用指数函数描述围压增幅因子α与变围压次数T的关系,具体如式(5)。

式中:κ为拟合系数,主要反映每次变围压所引起的回弹模量改变率。由前文分析可知,对于分级变围压动三轴试验各个阶段,其先前的加载和围压增长都会影响试样回弹特性,所以回弹模量预测模型需考虑试样加载历史的影响,并同时涵盖变围压条件下路基土回弹模量的各主要影响因素,即变围压振次间隔Nc、围压改变幅值Δσ3和动偏应力σd。此外,本文研究表明,路基土的回弹模量随围压和动应力的增大及变围压振次间隔的减小而增大;因此,κ宜统筹反映以上变化规律。综上,本文提出式(6),用以描述κ与Nc、Δσ3和σd的经验关系。

式中:k3、k4和k5为拟合系数。运用本文试验数据对式(6)进行拟合时,剔除编号为T-15的稳定型试样(见表2),用于后续验证回弹模量预测模型的准确性。k3、k4、k5的拟合结果见表5。将式(5)和式(6)代入式(4)可得到分级变围压下路基土回弹模量的预测模型为:

| k3 | k4 | k5 | R2 |
|---|---|---|---|
| 0.691 1 | -1.073 1 | -4.694 5 | 0.98 |
现有研究认为预测优度可分为以下3个等级[30],即:优秀(R2≥0.9),良好(0.7≤R2≤0.89)和一般(0.4≤R2≤0.69)。由表4和表5可知,k1、k2、k3、k4、k5对应的R2均大于0.90,表明拟合优度达到优秀等级。图10为含水率15.00%条件下土体回弹模量的预测值与实测值对比图。如前所述,模型验证所用试验数据并未参与模型拟合。由图可知,回弹模量预测值与实测值吻合较好,最大偏差约4.25%。此外,T≥1时,式(7)的预测效果相较于T=0时更好;其原因在于,式(7)是基于分级变围压动三轴试验建立的路基土回弹模型预测模型,而T=0是常围压工况,此时式(7)虽能退化用于预测常围压连续加载试样的回弹模量,但预测效果不及变围压条件下(T≥1)的预测效果。综上,可认为所提出的预测模型对分级变围压条件下路基土的回弹模量具有较好的预测效果。

4 结论
1) 分级增大土体围压,可提升其稳定回弹模量,并可使原本呈破坏型试样逐步转变为稳定型。每次变围压后,土体回弹模量出现一定幅度激增,而后随振次逐渐减小并趋于稳定值。
2) 分级变围压的振次间隔显著影响围压对回弹模量的增幅效果。在振次较小时,增大围压,有利于提高土体回弹模量,并提升其抵抗后续循环荷载的能力。
3) 分级增大围压对路基土回弹模量的增益贡献并不能补偿含水率增加带来的负面影响。使路基土含水率保持在最优含水率附近,有助于其抵抗弹性变形,且最优含水率条件下,分级增大围压引起的路基土回弹模量增益相较于天然含水率土样显著提升。
4) 对于稳定状态的路基土,动应力较小时,分级增大围压对回弹模量的增益效果相较动应力较大时更为显著。
5) 综合考虑路基土回弹模量的各主要影响因素,引入围压增幅因子,提出分级变围压条件下路基土回弹模量的经验预测公式,并取得了较好的预测效果。
陈有为,冷伍明,徐方等.分级变围压条件下粉土路基填料回弹模量试验研究[J].铁道科学与工程学报,2025,22(02):625-635.
CHEN Youwei,LENG Wuming,XU Fang,et al.Experimental study on resilient modulus of silty subgrade soil with stepped variations of confining pressure[J].Journal of Railway Science and Engineering,2025,22(02):625-635.

