城市群交通互联互通是实现交通强国和区域协调发展的重要举措。根据《中华人民共和国国民经济和社会发展第十四个五年规划和2035年远景目标纲要》和《“十四五”现代综合交通运输体系发展规划》,城市群交通互联互通建设是重要的战略规划任务。政府与社会资本合作(Public Private Partnership, PPP)模式是交通投融资的主要模式,2023年11月国务院办公厅发布《关于规范实施政府和社会资本合作新机制的指导意见》,PPP模式在交通领域的应用是新机制倡导方式,交通PPP模式是城市群交通互联互通建设的主要依托模式。交通PPP模式建构城市群交通互联互通的责任重大,随着新项目的陆续开展,非常需要设置能够明确界定交通PPP模式建构交通互联互通需呈现的效果和督促其实现该成效的方式,然而,系统体现这方面的研究还较少。目前,与交通互联互通发展相关的研究主要包括交通与经济 [1-2]和生态环境[3]之间的关系、交通基础设施投资效率[4]、城市公共交通模式[5-6]及互联性能评价[7-9]等方面的内容,这些内容能够体现交通联通在带动项目发展和带动外界环境发展的作用,对明确互联互通项目承担的责任有借鉴意义;而与交通互联互通的建构成效及其评价相关的研究主要集中在我国城市之间[10]和我国与“一带一路”沿线国家之间[11-14]的交通基础设施互联互通水平的评价,这些内容对构建交通PPP模式建构城市群交通互联互通的成效评价体系有参考作用,但不够全面。因此,有必要研究交通PPP模式建构交通互联互通的成效体系和监督社会资本完成承诺成效的方式,促进交通PPP模式构建城市群交通互联互通的顺利实施和发展。由此,本文提出基于成效评价的交通PPP模式建构城市群交通互联互通的收益调节方法,首先建立交通PPP模式建构城市群交通互联互通的成效评价指标体系和评价模型,然后依据演化博弈方法提出基于成效评价的收益调节方法,最后进行收益调节方法的应用模拟,提供了能够明确交通PPP项目构建城市群交通互联互通的成效责任和通过调节收益督促社会资本履行合同承诺的方法,能够为实践操作中界定并督促交通PPP模式履行交通互联互通建设责任提供参考,助力交通PPP模式高效完成交通互联互通构建任务。
1 交通PPP模式建构城市群互联互通的成效评价指标体系
交通PPP模式建构城市群交通互联互通需要体现出项目在构建过程所需承担的责任,目前还没有系统反映此内容的指标体系。交通互联互通的建构不仅需要满足交通PPP模式基本的建设运营要求,而且要考虑到交通运输作为基础性、服务性、引领性、战略性产业,城市群交通互联互通在服务新型城镇化、乡村振兴、环境保护和区域协调发展等战略实施过程需要起到的作用;因此,可以使用成效评价来体现建构交通互联互通应该达成的效果,并且通过合同约定社会资本在项目能够实现的成效水平,方便政府监督考核社会资本按合同提供服务的情况,助力交通PPP模式建设运营实现交通互联互通要求。
目前有关交通互联互通构建责任的研究文献较少、理论研究和实践过程都尚未形成评价体系,本文构建交通PPP模式建构城市群交通互联互通的成效评价指标体系时,依据国务院2021年印发的《国家综合立体交通网规划纲要》、2022年印发的《“十四五”现代综合交通运输体系发展规划》和交通运输部2022年印发的《交通强国建设评价指标体系》等对交通运输互联互通建设的有关要求,以及国务院在2023年印发的《关于规范实施政府和社会资本合作新机制的指导意见》对PPP模式建设运营的最新要求,结合乡村振兴、共同富裕、生态环保等战略与交通协同的需求,从交通互联互通实施效果、项目建设运营管理的可持续性、带动区域发展和环境保护的角度建立1级指标,并依据文件要求、归纳总结相关文献内容[1-10]建立2级指标,如表1所示。
| 1级指标 | 2级指标 | 指标含义 |
|---|---|---|
交通互联 互通实施 | 交通互联互通建设和运营实施符合要求 | 城市群交通互联互通建设运营的实施符合合同要求 |
| 支持项目互联互通的态度公正公允 | 以公正公允态度支持并推进项目联通的步骤, 促进互联互通体系建成 | |
| 提供交通互联互通推进发展的技术支持 | 配合所在交通互联互通体系升级发展提升运营管理及其他技术 | |
与政府沟 通效果 | 交通互联互通过程建设运营问题反馈 | 及时向政府反馈影响项目互联互通的建设运营问题 |
| 披露政府补贴运用情况 | 运用政府补贴时及时向政府披露情况 | |
| 提供政府所需建设运营材料 | 按要求提供政府所需与项目建设运营相关的其他材料 | |
建设运 营效果 | 建设目标完成度 | 项目建设完成整体目标与子目标 |
| 项目安全性 | 交通设施的安全等级达到标准 | |
| 项目运营考核的明确性 | 项目运营考核明确体现PPP模式运营要求, 能够根据考核结果进行调整 | |
| 收费合理性 | 收费符合使用者的可承受能力 | |
资金运 用效果 | 资金运用的可持续性 | 进行合理成本估算、保持盈利与成本均衡性 |
| 运营补贴使用管理符合要求 | 按要求使用运营补贴,及时上报结余额度 | |
| 运营收益达成度 | 按合同约定进行收益分配,分配过程体现PPP项目 风险共担收益共享原则 | |
| 财务审计及时性 | 按规定开展财务审计、防范债务风险 | |
带动区 域发展 | 带动区域经济发展 | 影响区域经济指标升降情况 |
| 支持乡村基础设施建设 | 带动乡村基础设施建设数量 | |
| 带动周边区域就业率 | 带动就业率或提供就业机会 | |
| 贡献路衍经济发展 | 积极助力开展“交通+”多产业联动合作模式 | |
环境 保护 | 施工运营符合国家环保标准 | 施工运营符合国家环保标准 |
| 生态保护和节能 | 建设运营过程体现生态保护和节能要求 | |
| 实现环境保护的可持续性 | 应用技术或管理方法持续降低环境污染和生态破坏 |
1) 交通互联互通实施。交通互联互通实施是衡量交通PPP项目完成城市群交通互联互通情况的基本指标。交通PPP项目建构城市群交通互联互通过程需要体现项目在交通互联互通整体布局的支持作用,这不仅需要项目本身顺利完成交通互联互通的建设和实施要求,而且需要其能够配合其他项目共同完成交通互联互通体系构建任务,包括具有支持与其他交通基础设施项目进行互联互通的态度,并能够积极为交通互联互通体系升级发展提供技术支持。基于此,2级指标设置为交通互联互通建设和实施符合要求、支持项目互联互通的态度公正公允、提供交通互联互通推进发展的技术支持。
2) 与政府沟通效果。交通PPP项目中,社会资本与政府在项目建设运营过程对重要事项保持沟通属于PPP模式建设运营过程的必要要求。政府需要及时了解项目建设运营过程存在的问题和其他情况,便于指导和提升交通互联互通构建效果;同时,财政预算的使用是PPP模式的重点,社会资本在每次使用运营补贴后需要及时向政府披露使用情况。基于此,2级指标设置为交通互联互通过程建设运营问题反馈、披露政府补贴运用情况、提供政府所需建设运营材料。
3) 建设运营效果。交通PPP项目建设运营管理是保障项目长期运行质量的重要支撑。这不仅需要有衡量项目整体建设目标完成度和安全性等考核项目建设情况的基本指标,而且需要有衡量项目运营效果的指标,包括从项目自身运营和使用者角度出发设置的评价指标,本文将其设置为项目运营考核的明确性和收费合理性,通过建立明确的运营考核要求来指导并调整项目运营表现,通过收益合理性体现对使用者服务情况。基于此,2级指标设置为建设目标完成度、项目安全性、项目运营考核的明确性、收费合理性。
4) 资金运用效果。交通PPP项目的资金运用是促进项目顺利运行的关键,需要对资金运用的合理性进行监督,实现收益支出均衡和合理收益分配,更好保障政府和社会资本的利益、促进项目的持续运行。均衡收益和支出使资金运用具有可持续性是资金运用的重点;政府补贴的运用是PPP项目资金管理的重点,社会资本除了及时向政府披露每次运用补贴的合理性,还需实现不浪费补贴金额、对结余额度及时管理并上报;项目达到预期收益并进行收益分配是对政府和社会资本利益的基本保障,这会促进社会资本合理利用项目资金从事运营活动。此外,社会资本需要按时开展财务审计、促进项目资金正常运行。基于此,2级指标设置为资金运用的可持续性、运营补贴使用管理符合要求、运营收益达成度、财务审计及时性。
5) 带动区域发展。交通基础设施能够带动经济发展,交通互联互通项目需要发挥带动区域发展和乡村振兴的作用。由此,成效评价指标体系提出交通PPP项目支持区域和乡村的经济发展以及基础设施建设的衡量指标,引导交通PPP模式积极发挥对乡村振兴和区域发展的带动作用。基于此,2级指标设置为带动区域经济发展、支持乡村基础设施建设、带动周边区域就业率、贡献路衍经济发展。
6) 环境保护。交通运输项目的建设运营需要践行环保理念。交通运输部已经发布《绿色交通标准体系(2022年)》,交通PPP项目建设运营既要达到国家规定的环保标准,体现区域生态环保和节能,又要持续对维护环境保护做出贡献。基于此,2级指标设置为施工运营符合国家环保标准、生态保护和节能、实现环境保护的可持续性。
交通PPP模式建构城市群交通互联互通的成效评价指标体系建成后,就可以通过成效评价得到项目成效等级。政府和社会资本在项目谈判阶段会依据社会资本提交的文件材料等对项目能够达到的质量水平达成协议,通过成效评价可以得到社会资本在合同承诺的成效等级;交通PPP项目在运营中期或完成阶段、项目的建设运营情况已经稳定,能够对交通PPP模式的实施情况进行成效评价得到成效等级;基于此,可以判断出合同承诺成效和实施成效是否相符,如果出现实施成效低于合同承诺的成效行为,评价结果的等级差将作为对社会资本进行收益调节的依据,以此督促社会资本按合同承诺提供项目服务。
2 交通PPP模式建构城市群交通互联互通的成效评价模型
交通PPP模式建构城市群交通互联互通的成效评价指标体系完成后,政府和社会资本可选择双方满意的评价方法进行成效等级评价。
本文依据交通PPP模式建构城市群交通互联互通的成效评价指标体系,应用模糊综合评价方法建立成效评价模型。交通PPP模式建构城市群互联互通的成效评价体系涉及2级指标,模糊综合评价法需要建立2个层次的因素集,具体如下。
1) 建立1级因素集











2) 建立评价集




3) 对1级因素集进行综合评价,通过层次分析法计算指标权重,为


交通PPP模式建构城市群交通互联互通的成效评价模型可以确定出社会资本承诺服务和实际实施服务的成效等级,对比这2个成效评价等级,能够判断出社会资本是否提供了不符合合同承诺的成效服务。
3 基于建构城市群交通互联互通成效评价的交通PPP模式收益调节方法分析
交通PPP模式顺利实现预期成效是其建构城市群交通互联互通的目标。交通PPP模式的实施成效如果与社会资本的承诺成效不符,会出现实施成效高于或低于承诺水平2种情形。项目的实施成效高于承诺成效已经对社会资本获得的收益和信誉等产生正向影响,政府可以不再进行收益方面的奖励;实施成效低于承诺成效会影响交通互联互通建设运营质量、造成项目损失,政府作为交通PPP模式的参与方,有必要对社会资本不遵守合同承诺的行为设置收益调节方法、作为收益处罚方式,以此规范社会资本行为、保障交通互联互通的建构效果。
由此,本文提出基于项目成效评价结果的社会资本收益调节方法,督促社会资本在实际服务中提供与合同承诺相符的成效服务,助力交通互联互通的实施效果。
3.1 模型假设
1) 社会资本提供了投资收益分配谈判时承诺的成效服务质量能够取得的投资收益为

2) 降低服务质量会导致项目运营收益降低,这给社会资本带来的损失为

3) 假设社会资本选择是否提供与合同承诺成效相符的服务质量仅取决于收益,即社会资本会主动选择获得收益最大的项目服务方式,并且,管理者的主观判断将对收益预测结果产生影响。此时,社会资本降低服务质量带来的额外收益需要考虑管理者的主观判断影响,本文以



4) 政府对社会资本设置收益调节方法需要花费的成本为




3.2 模型构建
本文通过演化博弈分析收益调节方式。政府和社会资本在项目谈判过程已经确认了项目应该达到的互联互通建构成效以及社会资本不达承诺成效可能面对的收益惩罚方式,该方式包括依据成效评价对社会资本进行收益调节。由于收益调节仅针对低于合同承诺成效的行为产生,社会资本在项目实施过程提供服务可归为2种选择,即符合合同承诺成效和低于承诺成效完成项目建设运营服务,符合合同承诺成效包括高于或等于合同承诺成效提供服务;政府在决定是否实施收益调节时有2种选择,即实施和不实施收益调节,虽然合同将收益调节作为收益惩罚方式的一项内容,但政府也可以选择不在项目中实施收益调节,即不花费实施成本。建立收益矩阵,4种情形下政府和社会资本的支付如表4所示。
| 社会资本 | |||
|---|---|---|---|
| 按合同承诺成效水平提供服务 | 低于合同承诺成 效水平提供服务 | ||
| 政府 | 实施收益调节 | ![]() ![]() | ![]() ![]() |
| 不实施收益调节 | ![]() ![]() | ![]() ![]() | |
| 均衡点 | 特征值![]() | 特征值![]() |
|---|---|---|
![]() | ![]() | ![]() |
![]() | ![]() | ![]() |
![]() | ![]() | ![]() |
![]() | ![]() | ![]() |
![]() | ![]() | ![]() | ![]() | ![]() | ![]() | ![]() | |
|---|---|---|---|---|---|---|---|
![]() | 40 | 80 | 35 | 2 | 90 | 0.2 | 0.2 |
![]() | 40 | 80 | 60 | 2 | 30 | 0.2 | 0.2 |
![]() | 60 | 80 | 30 | 2 | 30 | 0.2 | 0.2 |
演化博弈中,假设政府实施收益调节的概率为



从政府角度,政府部门实施收益调节方式的期望收益为





建立复制动态方程为

从社会资本角度,社会资本按合同承诺成效水平提供服务的期望收益为





建立复制动态方程为

另








演化博弈中,参与主体根据既得利益不断调整策略以追求自身利益的改善,最终达到动态平衡的策略称为演化稳定策略[17]。依据李雅普诺夫第一法(Lyapunov method),当雅可比矩阵的所有特征值

















3.3 数值仿真
本文使用Matlab2023b对博弈的演化过程进行模拟,并分析收益调节过程重要参数变动对社会资本决策的影响。
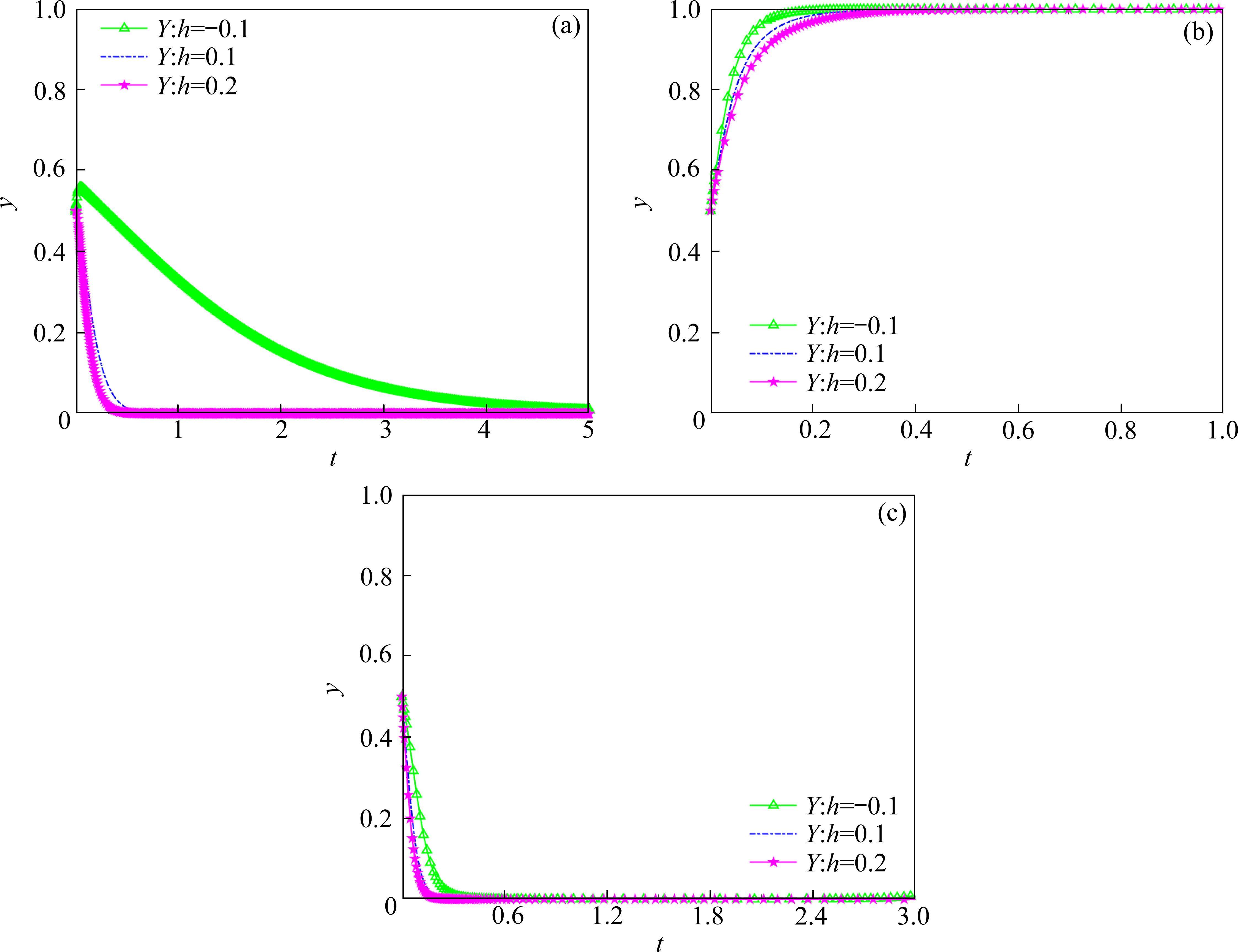
3.3.1 稳定策略模拟
根据各纯策略均衡点的特征值关系并参考交通PPP项目实践中收益和成本的大致配比设置



3.3.2 收益调节重要参数变化对社会资本决策影响分析
收益调节方法中的重要参数数值变化会对社会资本决策产生影响,分析这类参数对社会资本决策的影响,能够为政府督促社会资本按合同承诺成效提供服务提供措施参考。
3个演化稳定点中,

收益调节参数中,社会资本和政府获得的收益、降低服务质量带来的损失等参数数值由投资比例等客观因素决定,而收益调节比例、政府施行收益调节花费成本、社会资本主观判断对客观收益预测的影响比例等参数主要依靠双方沟通或各方主观因素决定,是可以通过设定合理措施影响其取值从而影响收益调节的效果。因此,本文将分析这3个参数的数值变化对社会资本决策的影响,设置初始条件(
首先,分析相邻评价等级差的收益调节比例


其次,分析政府施行收益调节方式花费成本


最后,分析社会资本主观判断对收益预测影响比例





由此表明,社会资本主观判断对收益预测的影响比例对社会资本决策有重要影响,该比例可以影响社会资本的决策立场,既能够使社会资本抵挡高收益的吸引力,让社会资本坚守合同责任,同时又能够放大提供不遵守合同服务获益的价值,使社会资本对是否遵守合同承诺产生犹豫。该比例主要由社会资本的性格、风险偏好等因素决定;同时,从收益视角考虑,对不遵守合同行为受到的处罚价值也会影响社会资本对获益的判断。因此,政府既可以采取措施正向影响社会资本对坚守责任的认知、又可以采取如规范PPP模式投融资条例和行业监督、增强信用管理和失信处罚、增加职业培训等处罚措施督促社会资本提供合同约定的服务标准,那么,即便项目预测出提供低成效服务带来的收益大于损失,如果社会资本的判断有缩小客观预测收益额的倾向,社会资本可能会放弃收益最大化坚守合同立场。
根据上述分析,相邻评价等级差的收益调节比例和社会资本主观判断对收益预测影响比例是能够影响社会资本按合同承诺成效提供服务的重要因素。收益调节比例是政府与社会资本在合同谈判过程确定,收益调节比例越大督促效果越好,政府可以在考虑社会资本获得的投资收益率的基础上制定收益调节比例,通过这种对社会资本发生道德风险行为的收益处罚方式督促社会资本遵守合同承诺。同时,社会资本主观判断对收益预测影响比例也是影响社会资本遵守合同承诺的重要因素,政府可以制定措施提升社会资本提供不符合合同承诺服务的处罚力度、影响社会资本对不遵守合同获利的价值判断,并引导社会资本增强履约责任感和使命感,使社会资本能够主动遵守合同承诺提供服务。收益调节比例和社会资本主观判断对收益预测影响比例的应用能够影响社会资本的决策模式,即便出现社会资本提供低于合同承诺水平的服务质量会获得最大收益的情形,社会资本也有可能会选择提供与合同承诺相符的服务质量。
4 交通PPP模式建构城市群互联互通收益调节的应用模拟
本文将简要模拟交通PPP模式收益调节方法的应用过程,为实践应用提供参考。
首先,政府和社会资本会在交通PPP模式的招投标过程进行谈判,除了传统的双方出资比率、投资回报率等谈判内容,还需要确定相邻评价等级差的收益调节比例。政府会通过预测项目收益和达不到承诺服务质量带来的收益损失等参数数值,通过演化博弈模拟确定出双方满意的比例取值,一般来说,该取值应保障社会资本收益,即考虑成效等级差在可接受的范围时,该比例的使用不会使社会资本产生收益亏损;同时,政府可向社会资本提出在提供低成效服务情况下企业会面临的包括项目信用监督、其他交通PPP项目招投标资格影响等措施,以此提升社会资本对提供不合规服务获益的后果认知,督促社会资本行为。本文不细致分析上述实施过程,仅假设政府和社会资本认为将相邻等级差的收益调节比例设置为0.2是在考虑社会资本投资回报率下能够督促社会资本提供与其承诺相符服务的合理比例。
政府和社会资本在项目谈判过程中,社会资本会对项目能够达到的质量做出承诺;待项目建设完成、运营稳定后,政府组织专家依据交通PPP模式建构城市群交通互联互通的成效评价指标体系,分别对项目承诺的和实际的实施成效进行打分评价。本文以对社会资本承诺服务质量进行评价为例,应用模糊评价方法进行交通PPP项目建构城市群互联互通的成效评价,并根据层次分析法确定指标体系的各级指标权重。评价时,政府组织在交通互联互通、交通PPP模式等领域从事理论研究和实务工作、有参与大中型互联互通项目建设运营经验或具有相关工作经验10年以上的专家共20人,以集体讨论的方式对照指标体系进行打分评价,评价集设为好、较好、一般、较差4级来体现每个指标的完成程度或质量等级;专家会分别对社会资本承诺的服务质量和项目建设运营的实施情况进行打分,其中,对社会资本承诺的服务质量进行评价得到的指标权重和隶属度如表5所示。1级指标层和2级指标层的一致性比率
| 1级指标 | 权重 | 2级指标 | 权重 | 好 | 较好 | 一般 | 较差 |
|---|---|---|---|---|---|---|---|
| 交通互联互通实施 | 0.298 | 交通互联互通建设和运营实施符合要求 | 0.493 | 0.510 | 0.300 | 0.190 | 0 |
| 支持项目互联互通的态度公正公允 | 0.311 | 0.430 | 0.380 | 0.190 | 0 | ||
| 提供交通互联互通推进发展的技术支持 | 0.196 | 0.320 | 0.410 | 0.240 | 0.030 | ||
| 与政府沟通效果 | 0.197 | 交通互联互通过程建设运营问题反馈 | 0.297 | 0.480 | 0.300 | 0.220 | 0 |
| 披露政府补贴运用情况 | 0.540 | 0.500 | 0.300 | 0.190 | 0.010 | ||
| 提供政府所需建设运营材料 | 0.163 | 0.360 | 0.400 | 0.220 | 0.020 | ||
| 建设运营效果 | 0.265 | 建设目标完成度 | 0.453 | 0.370 | 0.450 | 0.160 | 0.020 |
| 项目安全性 | 0.262 | 0.620 | 0.300 | 0.080 | 0 | ||
| 项目运营考核的明确性 | 0.167 | 0.210 | 0.360 | 0.320 | 0.110 | ||
| 收费合理性 | 0.118 | 0.340 | 0.390 | 0.250 | 0.020 | ||
| 资金运用效果 | 0.125 | 资金运用的可持续性 | 0.255 | 0.400 | 0.460 | 0.140 | 0 |
| 运营补贴使用管理符合要求 | 0.360 | 0.760 | 0.240 | 0 | 0 | ||
| 运营收益达成度 | 0.274 | 0.900 | 0.050 | 0.050 | 0 | ||
| 财务审计及时性 | 0.111 | 0.800 | 0.200 | 0 | 0 | ||
| 带动区域发展 | 0.075 | 带动区域经济发展 | 0.257 | 0.490 | 0.360 | 0.090 | 0.060 |
| 支持乡村基础设施建设 | 0.445 | 0.600 | 0.310 | 0.090 | 0 | ||
| 带动周边区域就业率 | 0.182 | 0.360 | 0.400 | 0.240 | 0 | ||
| 贡献路衍经济发展 | 0.116 | 0.350 | 0.450 | 0.200 | 0 | ||
| 环境保护 | 0.040 | 施工运营符合国家环保标准 | 0.540 | 0.560 | 0.410 | 0.030 | 0 |
| 生态保护和节能 | 0.300 | 0.620 | 0.220 | 0.160 | 0 | ||
| 实现环境保护的可持续性 | 0.160 | 0.500 | 0.420 | 0.080 | 0 |
模糊综合评价计算的评价等级如下。







计算得出,社会资本承诺服务质量的成效评价等级属于第1个等级“好”。由此,如果项目建设运营的成效评价属于“好”等级,社会资本收益不需要进行调节,如果属于较好、一般、较差等级,那么需要根据等级差对社会资本进行收益调节,弥补不能达到合同承诺水平的项目损失;并且,社会资本在接受收益调节的同时需要承担合同或行业约定的、在信用管理、招投标资格影响等方面的后果。
5 结论
1) 基于交通互联互通发展规划和文献分析,从项目互联互通实施、社会资本与政府、项目建设运营、项目发展与经济生态等要素之间的成效关系入手,构建交通PPP模式建构城市群交通互联互通的成效评价指标体系,包括交通互联互通实施、与政府沟通效果、建设运营效果、资金运用效果、带动区域发展、环境保护等6类1级指标和21个2级指标,体现出交通PPP项目建构交通互联互通需要承担的责任。
2) 运用模糊综合评价方法建立基于成效评价指标体系的成效评价模型,评价社会资本在交通互联互通建构中提供服务的成效等级,通过案例模拟使用过程,表明其能够为政府判断社会资本履约情况以及是否需要进行收益调节提供科学依据。
3) 采用演化博弈分析基于交通PPP模式建构城市群交通互联互通评价结果的收益调节方法,结果表明,设置相邻评价等级差的收益调节比例、社会资本主观判断对收益预测影响比例具有促进社会资本实施合同承诺服务的效果。这能够为政府在项目中施行系列措施督促社会资本形成摒弃收益最大化而遵守合同承诺服务的决策方式提供理论支持和方法借鉴。
本文还存在一些局限性。首先,由于交通PPP模式建构城市群交通互联互通的成效评价指标体系需要实时体现出交通服务国家战略的思路,后续仍需依据国家战略以及行业发展理念进行定期评估并调整完善指标体系。其次,为提升政府和社会资本合作效率、助力交通PPP项目高效完成交通互联互通建构成效,结合本文的研究结果,进一步研究政府督促社会资本按要求执行合同决策的方法措施是可行方向。
蔡晓琰.交通PPP模式建构城市群交通互联互通的收益调节方法研究[J].铁道科学与工程学报,2025,22(03):1302-1314.
CAI Xiaoyan.Income adjustment method of transportation PPP projects applied in construction of urban agglomeration transportation interconnection[J].Journal of Railway Science and Engineering,2025,22(03):1302-1314.
































