J.Cent.South Univ.(2025) 32: 776-788
Graphic abstract:
1 Introduction
Pipeline transportation is an economical, safe and environmentally friendly way to transport oil and gas over long distances [1-3]. As energy exploitation expands into remote areas such as permafrost and polar regions, pipeline steels will face more extremely low-temperature environments, demanding higher requirements for impact toughness [4-6]. When the temperature decreases, the fracture strength of the steels becomes lower than their yield strength, and pipeline steels will change from plastic to brittle [7]. To prevent catastrophic consequences in extremely cold areas, produced pipeline steels must have sufficient reserves of toughness in the ductile-to-brittle transition temperature (DBTT) range. Therefore, the high toughness of pipeline steels in the low- temperature environment is put forward with high requirements [8-10].
At present, pipeline steels, like X70 and X80 steels, have been developed and widely applied in the world. Their microstructures are complex and mainly composed of quasi-polygonal ferrite (QF), granular bainite (GB) and bainitic ferrite (BF) [11, 12]. The thermo-mechanical control process (TMCP) is a primary method of producing pipeline steel for optimized microstructure and toughness, and the controlled cooling processes are considered as the key factors. The influence of controlled cooling process on toughness and DBTT variation of pipeline steel has therefore become a research hotspot [13, 14]. AMIRJANI et al [5] found that low finish cooling temperatures were beneficial for the formation of low-temperature transformation microstructures, such as bainitic ferrite, which promots the low-temperature toughness of pipeline steel. SUNG et al [13] found that the start cooling temperatures below Ar1 were beneficial to formation of acicular ferrite, contributing to the low DBTT values of pipeline steels. Due to the complexity of microstructure of pipeline steels and the importance of their low-temperature toughness, it is necessary to further study the effect of microstructure evolution on the toughness and DBTT of X70 steel under different cooling conditions.
Besides the microstructure evolution, the crystallographic orientation is also influenced by the controlled cooling process. And the change in crystallographic orientation can also modify the toughness and DBTT values of pipeline steels [15-17]. Around the effect of crystallographic orientation of pipeline steels, researchers have carried out some meaningful research [18]. DUAN et al [19] found that increasing the amount of {001} plane parallel to the fracture surface led to an increase in DBTT of steels, and increasing the amount of {110} plane parallel to the V-notch surface was conducive to a decrease in DBTT of steels. BACZYNSKI et al [20] found that the {112}<100> texture was related to ductile fracturing of pipeline steel at high temperature, while the {100}<110> and {110}<001> textures were the reason for cleavage fracturing of steel at low temperature. However, to the best of our knowledge, comprehensive research on the effect of start cooling temperatures on microstructure evolution and crystallographic orientation of X70 steels, coupled with ductile-to-brittle transition behavior, is still insufficient.
In this paper, three X70 steels with different start cooling temperatures (780, 740 and 700 ℃) were prepared, the variation of microstructure and crystallographic orientation were systematically analyzed. Furthermore, the contribution of chemical composition and microstructure characteristics to DBTT value of X70 steel was calculated, and a DBTT prediction model was established.
2 Materials and methods
2.1 Materials
The experimental steels used in this study were low-carbon pipeline steel produced by TMCP process. The detailed chemical composition was measured by inductively coupled plasma-atomic emission spectroscopy (ICP-AES) and the results are shown in Table 1.
| C | Si | Mn | Nb+V+Ti | Ni+Cr+Mo | Cu | Al | P | S |
|---|---|---|---|---|---|---|---|---|
| 0.062 | 0.24 | 1.52 | 0.08 | 0.4 | 0.2 | 0.026 | 0.007 | 0.0005 |
Three steel plates were fabricated by TMCP process with different cooling conditions, and the parameters are shown in Table 2. After austenitizing at 1190 ℃ for an hour, rolling was started at about 1100 ℃ and finished in the austenite region of 840 ℃. A grain refinement effect was expected by controlled rolling with rolling reduction ratio of about 85% in the non-recrystallized region of austenite. The thickness of plates was reduced from 200 mm to 31.75 mm. Some rolled plates were air-cooled to different start cooling temperatures of 780 ℃ (C1), 740 ℃ (C2) and 700 ℃ (C3) to regulate the volume fraction of microstructures and stabilize retained austenite. The steel plates were then water-cooled to 480 ℃ and finally air-cooled to room temperature.
| Sample | Start rolling temperature/℃ | Finish rolling temperature/℃ | Start cooling temperature/℃ | Finish cooling temperature/℃ |
|---|---|---|---|---|
| C1 | 1060 | 840 | 780 | 480 |
| C2 | 1050 | 830 | 740 | 480 |
| C3 | 1050 | 830 | 700 | 480 |
2.2 Microstructure characterization
After the controlled rolling and controlled cooling process, the specimens were taken from the 1/4 thickness of steel plates. The specimens were further processed by the standard mechanical polishing procedures with dimensions of 10 mm× 10 mm×8 mm. The polished samples were then chemically etched by 4 vol% nital solution for 10-14 s to reveal microstructure. The microstructure of each sample was observed by optical microscope (OM, LEICA DMI3000M) and scanning electron microscope (SEM, FEI Quanta-200). The crystallographic orientation information of samples was also characterized by electron backscattered diffraction (EBSD, Nordlysmax2) experiments. The samples were cut from the 1/4 thickness of steel plates. And they were ground and electrolytically polished in 10 vol% perchloric acid alcohol solution. Then, the experiments were put forward by scanning electron microscope (SEM, SIRION200) with electron backscattered diffraction probe. The EBSD experiments were carried out at accelerating voltage of 20 kV and step size of 5 μm. The obtained statistics were analyzed by HKL Channel 5 software. More detailed microstructural information was observed by transmission electron microscope (TEM, Talos F200x). The samples for TEM experiments were cut and mechanically ground to 50 μm thickness, and then were twin-jet electropolished in mixed 10 vol% perchloric and 90 vol% ethanol solution at -25 ℃ until observable thin area was obtained. The statistical information of the microstructure was evaluated by Image Pro Plus software. Then, the fraction of matrix phases and the average size of MA islands were obtained.
2.3 Low-temperature toughness test
According to ISO 148-1-2016, the standard Charpy V-notch impact specimens were machined into dimension of 10 mm×10 mm×55 mm. The impact tests were performed in a temperature range of -160 ℃ to -10 ℃ and were carried out three times in each condition. After low-temperature impact tests, the fracture surfaces of the three experimental samples were characterized by SEM.
3 Results
3.1 Microstructure
SEM micrographs of steel plates under different cooling conditions are shown in Figure 1. According to the ISIJ Bainite Committee classification [21], the microstructure of GB consists of elongated ferrite sheaves with roughly equiaxed carbon-enriched MA islands. The classification defines BF as a microstructure consisting of highly dislocated ferrite laths separated by MA constituents. The BF defined by classification is like the well-known upper bainite, but cementite is replaced by MA constituents for the low-carbon content available. As shown in Figure 1, the microstructure of the three samples consisted of two parts: one was the QF microstructure formed at a higher temperature during the slow cooling process, and the other was the mixture of GB and BF microstructure formed at a lower temperature during fast cooling process. From OM photographs, the number fractions of QF, GB and BF microstructure were collected from OM diagram and the size distribution of MA was characterized from OM diagram. The results are shown in Table 3 and Figure 1(d) respectively. From C1 to C3, QF and BF increased and GB decreased, the average size of MA islands was 1.27, 1.44 and 1.56 μm, respectively.
_Xml/alternativeImage/5025010F-581C-43b5-8B48-A2588D5190FC-F002.jpg)
| Sample | QF | GB | BF |
|---|---|---|---|
| C1 | 0.19 | 0.67 | 0.14 |
| C2 | 0.22 | 0.55 | 0.23 |
| C3 | 0.36 | 0.29 | 0.35 |
The EBSD results of grain boundary misorientation information for three samples are also presented in Figure 1. As shown in Figures 1(a3)-(c3), the green lines are low-angle grain boundaries (2°<LAGBs<15°) and the black lines are high-angle grain boundaries (HAGBs>15°). It was noted that the effective grains of the three samples can be divided into two types, where some grains contained low density of LAGBs and the others had high density of LAGBs. The former type of grain is related to ferrite formed at high temperature and the latter type of grain is related to low-temperature transformation microstructure (GB and BF). The grain boundary orientation information of the three samples was characterized, and the distribution maps of grain boundary orientation and effective grain size were drawn. As shown in Figures 1(e)-(f), the average effective grain size of C1, C2 and C3 was 3.5, 2.8 and 3.0 μm, and their proportion of HAGBs were 30.3%, 36.3% and 34.2%. C2 had the finest grain and highest density of HAGBs, which is beneficial to its low-temperature toughness.
Detailed microstructural characterization of samples is performed by TEM analysis and the results are shown in Figure 2. Figure 2(a) presents the microstructure of C1, where the typical morphology of QF and GB is shown in the figure. The QF grains were bright wight, possessing low-density dislocation. The GB grains contained relatively high-density dislocation and blocky MA islands, where MA islands were distributed along grain boundaries or inside grains. Figure 2(b) shows the microstructure of C2, where QF, GB and BF are all presented in the selected region. The BF microstructure contained a higher dislocation density than GB and QF, and strip-like MA islands were distributed among elongated ferritic lath bundles inside BF grain. As shown in Figure 2(c), the microstructure of QF and BF can be observed in C3. The QF microstructure of C3 was the brightest among the three samples, indicating its lowest dislocation density.
_Xml/alternativeImage/5025010F-581C-43b5-8B48-A2588D5190FC-F003.jpg)
As shown in Figure 3, the three samples had similar crystallographic orientation with a strong <110> orientation and a weak <001> orientation parallel to TD. But the content of <110> and <001> oriented grains in the three samples were different. C2 sample had higher content of <110> oriented grains and lower content of <001> oriented grains compared with the other two samples. Because the specimens for Charpy impact test were prepared along the TD, the <110> orientation parallel to TD should represent {110} slip planes and the <001> orientation should represent {001} cleavage planes. The content of <110> and <001> oriented grains parallel to TD may be responsible to the variation of low-temperature toughness of the samples.
_Xml/alternativeImage/5025010F-581C-43b5-8B48-A2588D5190FC-F004.jpg)
Figures 4(a)-(c) illustrate the φ2=45° section of the orientation distribution function (ODF) for the experimental steel. To help analyze texture components, some ideal orientations along RD, TD and ND fibers are exhibited in Figure 4(d). As shown in ODFs, C1 exhibited high intensities around components of rotated cube {001}<110>, {112}<110> and low intensities around {332}<113>. By contrast, C2 possessed low intensities around {112}<110> and high intensities around {332}<113> components. The intensities of C2 around rotated cube {001}<110> were too low to be found. For C3, the intensities around rotated cube {001}<110> and {332}<113> components were high, but the intensities around {112}<110> components could hardly be characterized.
_Xml/alternativeImage/5025010F-581C-43b5-8B48-A2588D5190FC-F005.jpg)
3.2 Low-temperature toughness
As shown in Figure 5, Charpy impact tests were performed at temperatures from -160 to -10 ℃ to evaluate the fracture behavior of the three samples. The ductile-to-brittle transition temperature (DBTT) of samples was obtained by the energy method where the temperature was defined as the average value of upper shelf energy (USE) and lower shelf energy (LSE). After the tests, curves of Charpy impact absorbed energy versus temperature of three samples were fitted as shown in Figure 5. On the whole, the low temperature impact energy decreased with the reduction of the experimental temperature. The DBTT of C1, C2 and C3 was -79, -86 and -82 ℃ respectively, and the USEs of them were 261 J, 298 J and 278 J respectively. In general, C2 had the highest low-temperature toughness, while C1 had the lowest low-temperature toughness.
_Xml/alternativeImage/5025010F-581C-43b5-8B48-A2588D5190FC-F006.jpg)
3.3 Fracture behavior
Figure 6 exhibits the SEM observations for the fracture morphology of three samples after impact tests at -20, -80 and -120 ℃. When the test temperature was -20 ℃, ductile fracture morphology was predominantly observed in the three samples, where brittle fracture morphology was scarcely observed. The dimples of C2 were large, deep and evenly distributed, showing enhanced toughness characteristics. On the contrary, the dimples of C1 were small and shallow, and the dimples of C3 were unevenly distributed, both of which showed weakened toughness characteristics. For the fracture surface obtained at -80 ℃, some cleavage fractures appeared. The three samples tested at -80 ℃ all exhibited mix-mode (ductile/brittle) fracture behavior. C2 had the largest ductile area and C1 had the smallest ductile area. For the fracture surface obtained at -120 ℃, typical patterns of brittle fracture behavior with cleavage facets were observed. The crack propagation direction on the cleavage planes can be indicated by arrows in Figure 6. Microcracks observed in the morphology of C1 were large in number and deep in depth, while the microcracks of C2 were small and shallow. It can be found that the propagation paths of cracks were more tortuous in C2 than C1 and C3. The front end of cleavage facet was developed into several branches along the propagation direction of cracks. The characteristics of fracture morphology were consistent with the results of toughness variation of steels.
_Xml/alternativeImage/5025010F-581C-43b5-8B48-A2588D5190FC-F007.jpg)
4 Discussion
According to the results, the controlled cooling parameters had a great impact on the microstructure of experimental steel, which in turn affected its mechanical properties at low temperatures. As the start cooling temperature decreased, the fraction of GB decreased, QF and BF increased. C2 had the smallest effective grain size, the largest volume fraction of <110> oriented grain parallel to TD, the lowest volume fraction of <001> oriented grain parallel to TD, high intensities around {332}<113> components, low intensities around {112}<110> and low intensities around rotated cube {001}<110> components. C2 had the lowest DBTT value, and a detailed investigation was carried out about the effect of microstructure and crystallographic orientation characteristics on the ductile-to-brittle transition behavior of pipeline steels with different start cooling temperatures.
4.1 Effect of start cooling temperature on microstructural evolution
The continuous cooling process of experimental steel is composed of slow cooling process after hot rolling and fast cooling process after start cooling. During slow cooling process, QF preferentially nucleates at prior austenite grain boundaries by diffusion mechanism at high temperature. Ferrite growth is characterized by long-range diffusion of carbon atoms and rapid migration of replacement atoms, resulting in different composition between ferrite and austenite [22, 23]. During the process, austenite-stabilizing elements, especially carbon, aggregate in austenite, stabilizing austenite grains. When experimental steels are cooled to the start cooling temperatures, a rapid cooling process occurs. Then, the microstructure of GB and BF is formed by mixed shear and diffusion transformation mechanism under a high thermodynamic driving force. As the start cooling temperature decreases, the austenite stability is enhanced and the transformation of undercooled austenite is carried out at lower temperatures. According to research, GB preferentially nucleates and grows at the prior austenite grain boundaries, where BF usually nucleates intra-granularly and grows inside retained space, GB transformation needs a higher thermodynamic driving force than BF and is carried out at higher temperature [24].
The matrix microstructure of the three samples was affected by the start cooling temperature. As for C1, due to the high start cooling temperature, the atomic exchange and diffusion process before rapid cooling can only be carried out in a limited time, so only a small amount of ferrite nucleated along the austenite grain boundaries, and distributed discontinuously. Untransformed austenite was unstable and bainite transformation was carried out at relatively high temperatures, and the formed bainite contained a large amount of GB and a small amount of BF. As for C3, on the contrary, the atoms had enough time to exchange and diffuse before rapidly cooling to low start cooling temperature. The amount and size of ferrite increased and the formed ferrite continuously distributed at the prior austenite grain boundaries. The untransformed austenite of C3 was more stable than that of C1, and bainite transformation was carried out in a lower temperature range. So, the formed bainite contained a larger amount of BF and a smaller amount of GB. For C2, the start cooling temperature was between and C1 and C3, so the content and size of the formed ferrite were moderate, resulting in moderate stability of the untransformed austenite. The amount of BF in C2 is between C1 and C3. According to the results, the illustration of the microstructure evolution of experimental steels with different cooling rates is schematically summarized, as shown in Figure 7. The low-temperature toughness and ductile-to-brittle behavior of steels are closely related to the microstructures which are affected by the start cooling temperatures. The relationship between microstructure characteristics and toughness will be discussed in the next section.
_Xml/alternativeImage/5025010F-581C-43b5-8B48-A2588D5190FC-F008.jpg)
4.2 Effect of start cooling temperature on DBTT
HAGBs play an important role in the crack propagation process of steels [25-29]. It is demonstrated that the crack propagation can be influenced by the misorientation between adjacent grains. In general, the increase of misorientation means higher grain boundary energy. When the misorientation exceeds 15°, the energy of grain boundaries reaches the maximum value. In the impact test, the crack propagation will select a suitable path to achieve the minimum energy consumption. It is believed that the cracks can be deflected or be arrested by HAGBs. According to Figure 1, from C1 to C3, the proportion of HAGBs was 30.3%, 36.3% and 34.2% respectively, the effective grain size was 3.5, 2.8 and 3.0 μm respectively. C2 possessed the highest amount of HAGBs and the smallest effective grain size, which became one of the main reasons for its lowest DBTT value. On the contrary, C1 had the lowest amount of HAGBs and the largest effective grain size, contributing to its highest DBTT value.
The DBTT of the three samples is also closely related to the MA islands in the matrix [30]. MA islands are considered brittle phases embedded in the ferrite matrix and can affect impact toughness. The hardness and brittleness of MA constituents are significantly different from ferrite matrix. During impact tests, the soft matrix in steel undergoes plastic deformation first, leading to local stress concentration on or around the hard phases [31]. When the local stress concentration exceeds critical stress, nucleation and propagation of cracks from the MA islands may occur. DEVIS and KING [32] found that large size of MA would reduce the crack initiation stress and have serious degradation effects on toughness of steel. As reported before, with the decrease of start cooling temperature, the average size of MA islands was 1.27, 1.44 and 1.56 μm respectively. C3 had the largest MA islands, which reduced its critical stress for crack nucleation and deteriorated its low-temperature toughness.
Crystallographic orientation characteristics can also affect the toughness of steels [18, 33]. Since the {001} plane is favorable for the cleavage fracture of BCC metal, grains with large amounts of {001} planes parallel to fracture surfaces always result in large areas of cleavage fracture in low-temperature impact tests of experimental steels. On the contrary, {110}<111> slip system is considered to be the main cause of plastic deformation in BCC metal, and the {110} planes parallel to fracture surfaces contribute to the toughness of the steels. In this study, Charpy impact specimens were cut along TD, and the grains with <001> and <110> orientation components parallel to TD can represent the grains with {001} cleavage planes and {110} slip planes parallel to impact fracture surfaces. As shown in Figure 4, C2 possessed the highest content of <110> oriented grains and the lowest content of <001> oriented grains. The results were consistent with the fracture morphology variation shown in Figure 6. The texture components derived from the austenite texture after being deformed and recrystallized. The rotated cube {001}<110> component is mainly resulted from the cube {001}<100> of the recrystallized austenite texture and always makes the steel brittle [34]. In order to obtain an ideal toughness of steel, the intensity of {001}<110> components needs to be reduced in most cases. On the contrary, the {332}<113> component is the most desirable in the transformation texture components and contributes to the improvement of toughness [35]. The intensity of {332}<113> needs to be increased to improve the toughness of samples. Sample C1 possessed a high intensity of rotated cube {001}<110> and a low density of {332}<113>, which should be one of the reasons for the lowest toughness among three samples. Sample C2 was opposite to C1 that the intensity of rotated cube {001}<110> was low and the intensity of {332}<113> was high, contributing to the highest toughness of steel. C3 sample had a high intensity of rotated cube {001}<110> and {332}<113>, contributing to its toughness between C1 and C2.
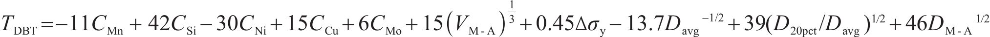
4.3 Prediction model of DBTT
The fracture morphology changed from void coalescence to cleavage with reduced temperature in impact tests. DBTT variation is due to competition between plastic flow and cleavage fracture, and is defined as the point where yield stress is the same as cleavage fracture stress. Therefore, the value of DBTT can be determined by microstructural parameters that can influence cleavage fracture or yield stress. According to previous research, the value of DBTT (TDBT) is related to some factors as below [36]:
_Xml/alternativeImage/5025010F-581C-43b5-8B48-A2588D5190FC-M001.jpg)
where the _Xml/alternativeImage/5025010F-581C-43b5-8B48-A2588D5190FC-M002.jpg)
_Xml/alternativeImage/5025010F-581C-43b5-8B48-A2588D5190FC-M003.jpg)
According to previous studies, the yield strength of samples contributed to precipitation and dislocation can be calculated as below [36, 37]:
_Xml/alternativeImage/5025010F-581C-43b5-8B48-A2588D5190FC-M004.jpg)
where ΔσDis is dislocation strengthening, and ΔσOrown represents the precipitation strengthening; σ0, Δσss and ΔσGB are the friction stress of ferritic matrix, the solid solution strengthening and the grain boundary strengthening, respectively.
_Xml/alternativeImage/5025010F-581C-43b5-8B48-A2588D5190FC-M005.jpg)
_Xml/alternativeImage/5025010F-581C-43b5-8B48-A2588D5190FC-M006.jpg)
The microstructural parameters of steel in the equations are summarized in Table 4.
| Sample | ![]() | Δσy | Davg | D20pct/Davg | DM-A |
|---|---|---|---|---|---|
| C1 | 6.9 | 30 | 3.5 | 1.3 | 1.3 |
| C2 | 7.1 | 29 | 2.8 | 1.4 | 1.4 |
| C3 | 7.2 | 29 | 3.0 | 1.4 | 1.6 |
According previous studies, the constants from k1 to k5 are selected. The Eq. (1) is then modified as follows [19, 38, 39]:
_Xml/alternativeImage/5025010F-581C-43b5-8B48-A2588D5190FC-M008.jpg)
The contribution of chemical composition and microstructural factors to DBTT can be calculated and the results are shown in Figure 8. Effective grain size is the most important factor in determining the DBTT of experimental steel. MA island diameter and microstructural heterogeneity also play key roles in DBTT. From Figure 8, it can be found that the calculated value of DBTT was relatively in agreement with the experimental results for steel.
_Xml/alternativeImage/5025010F-581C-43b5-8B48-A2588D5190FC-F009.jpg)
5 Conclusions
1) As start cooling temperature decreased, the amount of GB decreased, the amount of QF and BF increased. The start cooling temperatures of 740 ℃ (C2) had the lowest DBTT of -86 ℃ due to its smallest effective grain size and adequate crystallographic orientation.
2) The fraction of {110} slip planes and {001} cleavage planes in specific directions had impact on toughness of steel. C2 steel had the highest content of grains with {110} slip planes and the lowest content of {001} cleavage planes, which contributed to its lowest DBTT temperature.
3) The texture of {332}<113> benefits the toughness while rotated cube {001}<110> deteriorates the toughness of samples. C2 had a high density of {332}<113> and a low density of rotated cube {001}<110>, which also explains why C2 had higher toughness than C1 and C3.
4) A modified model considering influencing factors, such as effective grain size, MA components and other factors, was built to predict the DBTT value of the three samples. According to the results, the model has good prediction ability for DBTT value of X70 steel with complex microstructure.
A review on welding of high strength oil and gas pipeline steels
[J]. Journal of Natural Gas Science and Engineering, 2017, 38: 203-217. DOI: 10.1016/j.jngse.2016.12.039.Effect of TMCP rolling schedules on the microstructure and performance of X70 steel
[J]. Materials Characterization, 2021, 178: 111207. DOI: 10.1016/j.matchar.2021.111207.Experimental investigation on flow properties of cemented paste backfill through L-pipe and loop-pipe tests
[J]. Journal of Central South University, 2021, 28(9): 2830-2842. DOI: 10.1007/s11771-021-4810-y.Ultrafine microstructure design of high strength pipeline steel for low temperature service: The significant impact on toughness
[J]. Materials Letters, 2021, 303: 130429. DOI: 10.1016/j.matlet.2021. 130429.Effect of accelerated cooling rate and finish rolling temperature on the occurrence of arrowhead markings in drop-weight tear test of API 5LX70 linepipe Nb-V-Ti steel plate
[J]. Metals and Materials International, 2021, 27(11): 4802-4813. DOI: 10.1007/s12540-020-00841-3.Sensitivity of mechanical properties of pipeline steels to microalloying additions and structural characteristics
[J]. Materials Science and Engineering A, 2021, 826: 141984. DOI: 10.1016/j.msea.2021.141984.Influence of effective grain size on low temperature toughness of high-strength pipeline steel
[J]. Materials, 2019, 12(22): 3672. DOI: 10.3390/ma12223672.Assessment of ductile-to-brittle transition behavior of localized microstructural regions in a friction-stir welded X80 pipeline steel with miniaturized charpy V-notch testing
[J]. Metallurgical and Materials Transactions A, 2016, 47(6): 2855-2865. DOI: 10.1007/s11661-016-3473-z.Effect of separation on the fracture surface of pipeline steels with ferrite-bainite dual phases during drop weight tear test
[J]. Metals and Materials International, 2022, 28(6): 1340-1348. DOI: 10.1007/s1254 0-021-00999-4.Correlation of microstructure and mechanical properties of thermomechanically processed low-carbon steels containing boron and copper
[J]. Metallurgical and Materials Transactions A, 2010, 41(1): 85-96. DOI: 10.1007/s11661-009-0070-4.Tensile deformation and fracture behavior of API-5L X70 line pipe steel
[J]. Materials, 2022, 15(2): 501. DOI: 10.3390/ma15020501.Effects of final rolling temperature and coiling temperature on precipitates and microstructure of high-strength low-alloy pipeline steel
[J]. Journal of Iron and Steel Research International, 2022, 29(8): 1236-1244. DOI: 10.1007/s42243-021-00659-2.Effects of start and finish cooling temperatures on microstructure and mechanical properties of low-carbon high-strength and low-yield ratio bainitic steels
[J]. Metallurgical and Materials Transactions A, 2014, 45(4): 2004-2013. DOI: 10.1007/s11661-013-2156-2.Effect of M-A constituents formed in thermo-mechanical controlled process on toughness of 20CrNi2MoV steel
[J]. Journal of Iron and Steel Research International, 2019, 26(12): 1340-1349. DOI: 10.1007/s42243-019-00244-8.Distribution feature of specific misorientation angle in a bainitic steel
[J]. Materials Characterization, 2021, 172: 110874. DOI: 10.1016/j.matchar.2021.110874.Selective laser melting of duplex stainless steel 2205: Effect of post-processing heat treatment on microstructure, mechanical properties, and corrosion resistance
[J]. Materials, 2019, 12(15): 2468. DOI: 10.3390/ma12152468.Crystallographic orientation dependence of Charpy impact behaviours in stainless steel 316L fabricated by laser powder bed fusion
[J]. Additive Manufacturing, 2021, 46: 102104. DOI: 10.1016/j.addma.2021.102104.Microstructure and texture evolution of nonoriented silicon steel during the punching process
[J]. International Journal of Minerals, Metallurgy and Materials, 2022, 29(11): 2064-2071. DOI: 10.1007/s12613-021-2404-1.Effect of microstructure and crystallographic orientation characteristics on low temperature toughness and fracture behavior of pipeline steels
[J]. Journal of Materials Research and Technology, 2022, 17: 3172-3185. DOI: 10.1016/j.jmrt.2022.02.043.The influence of rolling practice on Notch toughness and texture development in high-strength linepipe
[J]. Metallurgical and Materials Transactions A, 1999, 30(12): 3045-3054. DOI: 10.1007/s11661-999-0215-5.Modelling the uniaxial creep anisotropy of nickel base single crystal superalloys CMSX-4 and RR2000 at 1023 K using a slip system based finite element approach
[J]. Computational Materials Science, 2002, 25(1, 2): 129-141. DOI: 10.1016/S0927-0256(02)00257-4.Effect of cooling start temperature on microstructure and mechanical properties of X80 high deformability pipeline steel
[J]. Journal of Iron and Steel Research International, 2011, 18(10): 42-46. DOI: 10.1016/S1006-706X(12)6002 0-X.Microstructure and mechanical properties of a low carbon bainitic steel
[J]. Steel Research International, 2013, 84(4): 352-361. DOI: 10.1002/srin.201200186.Inter-critically reheated CGHAZ of ultra-high-strength martensitic steel with different cooling rates
[J]. Materials, 2023, 16(2): 581. DOI: 10.3390/ma16020581.Determining role of heterogeneous microstructure in lowering yield ratio and enhancing impact toughness in high-strength low-alloy steel
[J]. International Journal of Minerals, Metallurgy and Materials, 2021, 28(5): 816-825. DOI: 10.1007/s12613-020-2235-5.Microstructure characteristics and properties of fusion boundary in 9%Ni steel joint filled with Ni-based alloy
[J]. Materials Characterization, 2020, 165: 110390. DOI: 10.1016/j.matchar.2020.110390.Enhanced strength-ductility-toughness synergy in an HSLA steel with multi-gradient ultrafine grained structure by adopting a two-stage rolling coupling inter-pass ultra-fast cooling process
[J]. Journal of Materials Processing Technology, 2023, 313: 117832. DOI: 10.1016/j.jmatprotec.2022.117832.Role and mechanism of innovative addition process of trace nano-TiCp in microstructure manipulation and significant mechanical properties enhancement of H13 steels
[J]. Journal of Materials Processing Technology, 2023, 311: 117819. DOI: 10.1016/j.jmatprotec.2022.117819.Effect of martensite–austenite constituents on impact toughness of pre-tempered MnNiMo bainitic steel
[J]. Materials Characterization, 2020, 161: 110139. DOI: 10.1016/j.matchar.2020.110139.Effects of niobium addition on microstructure and properties of CPM121 powder metallurgy high-speed steel
[J]. Journal of Central South University, 2021, 28(4): 1206-1218. DOI: 10.1007/s11771-021-4690-1.Cleavage initiation in the intercritically reheated coarse-grained heat-affected zone: Part I. Fractographic evidence
[J]. Metallurgical and Materials Transactions A, 1994, 25(3): 563-573. DOI: 10. 1007/BF02651598.Effect of crystallographic orientation on crack growth behaviour of HSLA steel
[J]. International Journal of Minerals, Metallurgy and Materials, 2022, 29(8): 1532-1542. DOI: 10.1007/s1261 3-022-2415-6.Correlation of microstructure with anisotropy of low-temperature toughness in two API X70 pipeline steels
[J]. Steel Research International, 2023, 94(2): 2200479. DOI: 10.1002/srin.2022 00479.Texture and mechanical properties of API X100 steel manufactured under various thermomechanical cycles
[J]. Materials Science and Engineering A, 2012, 531: 2-11. DOI: 10.1016/j.msea.2011. 09.072.Effects of microstructure on CVN impact toughness in thermomechanically processed high strength microalloyed steel
[J]. Metallurgical and Materials Transactions A, 2017, 48(2): 685-696. DOI: 10.1007/s11661-016-3893-9.Strengthening mechanisms and their relative contributions to the yield strength of microalloyed steels
[J]. Metallurgical and Materials Transactions A, 2012, 43(9): 3043-3061. DOI: 10.1007/s11661-012-1135-3.Effect of microstructure on the impact toughness of Nb-microalloyed steel: Generalisation of existing relations from ferrite–pearlite to high strength microstructures
[J]. Materials Science and Engineering A, 2013, 571: 57-67. DOI: 10.1016/j.msea.2013.02.006.Influence of carbide thickness on impact transition temperature of ferritic steels
[J]. Metals Technology, 1979, 6(1): 252-260. DOI: 10. 1179/030716979803276246.LIU Wen-jian, LI Hong-ying, KONG Yao-jie, LIU Ji-wen, LIU Dan, GAO Qing, PENG Ning-qi, XIONG Xiang-jiang declare that they have no conflict of interest.
LIU Wen-jian, LI Hong-ying, KONG Yao-jie, LIU Ji-wen, LIU Dan, GAO Qing, PENG Ning-qi, XIONG Xiang-jiang. Effect of start cooling temperature on microstructure, crystallographic orientation and ductile-to-brittle transition behavior of high strength steel [J]. Journal of Central South University, 2025, 32(3): 776-788. DOI: https://doi.org/10.1007/s11771-025-5906-6.
刘文鉴,李红英,孔耀颉等.开冷温度对高强管线钢韧脆转变温度的影响[J].中南大学学报(英文版),2025,32(3):776-788.


_Xml/alternativeImage/5025010F-581C-43b5-8B48-A2588D5190FC-M007.jpg)