“十隧九漏”,地下水是隧道修建过程中不可规避的问题。一旦发生突涌水灾害,必将影响施工进度,增加工程成本,甚至引起工程事故。隧道涌水是一个复杂的多场耦合的演化过程,受地形地貌、地质构造、地应力、地下水、自然环境、施工扰动及人为因素等影响,使得涌水致灾机理及产生原因存在较大差异[1]。因此,突涌水灾害是隧道施工安全的重大挑战,一直是工程界与科研学者的关注焦点。关于隧道突涌水问题,最早主要是借鉴采矿顶底板突水的成熟理论[2-3],但没有考虑多物理场耦合、岩体突变及损伤等。李连崇等[4]基于流固耦合理论,揭示了开采扰动及高承压水驱动下采煤底板突水演化机理,探讨了断层发育程度、承压水压力对演化模式及突水滞后时间的影响。FU等[5]基于力学理论和渗流理论,推导了隧道涌水量计算表达式,发现注浆圈厚度和断层对隧道涌水影响较大。李廷春等[6]建立渗流-变形耦合模型,提出隧道断层破碎带的突水塌陷机理,得到隧道围岩渗流场、应力场与位移场的分布特性。李连崇等[7-8]建立渗流-应力-损伤耦合模型,揭示了岩石水力致裂生长、延伸及失稳演化机理。李利平[9]基于突变理论,推导了隧道防突层失稳最小安全厚度计算公式,分析了动载峰值、振动频率以及水压大小对防突层最小安全厚度的影响。邹洋等[10]基于突变理论,发现溶腔水压力、溶腔大小、围岩弹模对顶板安全厚度的影响不能忽视。随着交通建设快速发展,相继出现了大埋深、强岩溶、软岩、断层带及穿越富水地层等隧道建设,尤其是穿越江河的水下隧道和海底隧道[11],安全风险高,施工难度大,诸如日本修建青函海底隧道时发生的涌水灾害致使隧道停工和灾害处治长达数年。为进一步揭示隧道涌水致灾机理及处治方法,人们开始借助数值模拟[12-15]、模型试验[16-19]等手段对隧道涌水致灾因子及破坏模式进行研究,提出了有效的处治方案,成功应用于工程实践。此外,李利平等[20]针对隧道突涌水、岩爆、软岩大变形、坍塌等常见地质灾害问题,从灾变机理、监测预警及防控措施等角度进行了深入解读,为隧道灾害预防与控制技术相关研究提供参考依据。总的来说,目前国内外学者对隧道涌水研究主要集中在矿井、巷道及岩溶区隧道施工涌水机理及影响规律方面,对于隧道涌水诱因影响程度与下穿水库及穿越构造发育的岩性接触带所诱发隧道涌水问题的工程案例研究相对较少。因此,本文以下穿水库及穿越断层带越岭隧道施工涌水案例为背景,从地质特征、围岩揭露、地质雷达探测及涌水形态出发,分析隧道涌水致灾原因,以此建立隧道涌水分析模型,系统研究隧道涌水致灾机理及影响机制,为类似隧道安全施工经验积累及其预防提供借鉴。
1 工程背景
1.1 工程概况
陈家山隧道位于浙江新昌县境内,隧道采用分离式双向四车道型式(见图1[21]),左线全长5 964 m,右线全长5 930 m,隧道全长平均5 947 m,最大埋深250 m,路线基本沿河、沟布设,地形在剖面上呈“M”形。隧道主要以IV、V级围岩为主,采用台阶法施工,穿越地层主要为凝灰质砂岩、凝灰质粉砂岩、凝灰岩和凝灰质角砾岩,岩性变化大,受地质构造影响较大,岩石蚀变强烈,节理裂隙发育,地下水丰富,水文地质环境复杂,存在塌方[21]、突涌水风险,施工安全等级高,施工难度大。

1.2 工程地质
隧址位于浙东低山丘陵区,山峦起伏,沟谷狭窄,地表分布有多个水库、鱼塘及深切沟谷,典型剖面如图2所示。区域构造以断裂构造为主,地层岩性主要有白垩统(K1)火山岩,陆相碎屑沉积岩及燕山期岩脉;第三系上新统嵊县组(N2S)以玄武岩为主的喷发相产物以及底砾层;第四纪地层主要为冲积、坡洪积、残坡积成因的堆积物。工程区域地下水类型主要为松散岩类孔隙水及基岩裂隙水。基岩裂隙水主要存在于节理裂隙及断裂带中,在构造、地貌有利部位(如斜坡、洼地、坳沟等)地下水相对集中,水量较丰富,水质较好。受大气降水补给,常以泉水形式出露,季节性变化明显。

1.3 隧道涌水描述
2018年12月18日上午10时许,隧道左线掘进至ZK92+518断面时,在掌子面中部出现78°∠25°倾斜断层破碎带,一直延伸至左拱顶,裂隙间伴有泥质粉砂及角砾岩充填,并伴有裂隙水渗出,现场及时动态调整施工进尺,12月20日开挖至ZK92+514断面时,掌子面出现渗流水,顶部多处呈淋雨状出水,12月21日开挖至ZK92+512断面时,顶部出现柱状漏水现象,次日,隧道掘进至ZK92+510断面,正当移动工作台车准备打钻炮孔,在掌子面后方ZK92+512断面拱部左侧出现股状喷射水流(见图3),水压较大,水流清澈,无污浊,预估涌水量达80 m3/h,造成隧洞内积水严重,涌水口位置附近围岩挂网+初支混凝土剥落,掌子面停止施工,现场立即组织专家进行专题研讨。经地质勘察及洞内涌水连续观察,水库水位未发生变化,洞内涌水量逐渐减少,在ZK92+510~505里程范围,呈线条状渗出,局部有细股水流。初步推测,此次涌水主要是受地质断层构造及地表水库影响,在隧道拱部一定深度区域潜伏着规模不大的含水溶腔,因隧道开挖卸荷,引起围岩应力重分布及地下水能量释放,加之开挖扰动对围岩渗透系数改变及渗流影响,促使裂隙水运动导致裂隙通道形成贯通。

2 隧道涌水原因分析
2.1 掌子面围岩揭露
隧道涌水部位位于凝灰质角砾岩与砂岩互层接触带附近,围岩以凝灰质砂岩为主,岩质较硬~较软,围岩较破碎,裂隙发育,裂隙间夹碎屑岩及粉砂岩,青褐色~浅灰色,呈块状碎裂构造,并伴有裂隙水渗出。受地质构造影响,深长裂隙带为涌水提供了良好的透水条件,在构造带处形成较大的运移通道,沟谷地形给地下水创造了集水空间。在隧道开挖卸荷过程,围岩应力释放产生附加应力,加之爆破振动引起围岩破损程度加剧及岩体力学性能劣化,致使岩体内部裂纹产生或裂纹扩展,使开挖扰动范围内的溶腔水压及渗透性发生改变,造成溶腔水流向最薄弱的地方集中迁移,存在隧道施工安全风险。典型掌子面现场照片如图4所示。

2.2 地质雷达探测
为保证隧道施工安全,通过对左洞ZK92+526掌子面进行地质雷达探测,预测前方30 m范围的地质情况,探测结果如图5所示。其中在ZK92+526~508范围内,电磁波反射信号变化较快,中低频,振幅较强,同相轴不连续,呈带状分布,反射界面密集,推断岩体破碎,裂隙发育,围岩完整性较差。在ZK92+508~499范围内,电磁波反射信号减弱,同相轴不连续,呈层面状反射,反射界面较多,推断岩体较破碎~较完整,节理裂隙较发育。在ZK92+499~496范围内,电磁波反射信号较弱,反射界面较少,推断岩体较完整,局部裂隙较发育,围岩完整性较好。特别地,在ZK92+524~515范围内,出现倾斜走向的连续性反射信号错段,且信号强烈,推断存在倾斜断层破碎带,在ZK92+515~513范围内,能量衰减快,反射信号较弱,波形均匀变化,推测存在软弱夹层或有裂隙水出露,施工过程需引起高度重视。

2.3 地质勘察分析
根据地勘报告,该施工区段范围线路沿河、沟布设,地表分布有河流、水库、鱼塘、村庄等敏感区,围岩主要为晶屑凝灰岩、含角砾凝灰岩及流纹质凝灰岩,局部夹凝灰质砂岩及粉砂岩。该段物探剖面显示为低阻,推测岩体受构造影响,强度较低,岩质较软~较硬,位于岩性接触线带,岩体较完整~较破碎,以镶嵌碎裂结构为主,节理裂隙发育,处于III级与Ⅳ级围岩过渡段。原设计为Ⅲ级围岩,初期支护采用挂网+初喷混凝土,采用全断面法爆破施工。地下水主要为基岩裂隙水,受大气降水补给,在断裂构造、地貌有利部位地下水相对集中,水量较丰富。强渗透性、高导水性使得在断层出露、地表沟谷地段具备良好的蓄水条件,极易形成含水溶腔,存在涌水风险。
2.4 隧道涌水形态
根据隧道开挖揭露,从产生征兆到出现涌水,先后经历“渗滴水~淋雨状~渗漏水~股状喷射~细股水流~局部渗水”过程,反映了隧道涌水形态的“弱-强-弱”的演化历程。可见,在隧道开挖过程,含水溶腔与隧道开挖临空面的距离由远及近,且越来越具备良好的排泄条件。其中水流清澈,无浑浊,掺杂有粉细砂颗粒。考虑水渗流对裂隙岩体软化和侵蚀作用,使岩体抗剪强度大幅度降低,在地下动水压力作用下将裂隙间的粉粒、细砂带走,水流速逐渐增大,在动水压力和渗透力影响下,加剧了含水溶腔与隧道开挖掌子面之间裂隙的连通性。
综上,基于现场隧道涌水描述,从掌子面围岩揭露、地质雷达探测、地质勘察及隧道涌水形态多角度,系统分析涌水致灾原因:1) 受地质构造、地表富水及岩性接触带等不良地质影响,隧道围岩破碎、裂隙发育,夹杂粉细砂颗粒填充物,渗水通道流畅,这给含水溶腔与隧道连通的潜在路径创造了有利条件。2) 由于隧道开挖后拱部卸荷改变了围岩应力状态及地下水静平衡,加之开挖扰动对围岩渗透系数改变及渗流影响,此时,围岩应力与地下水能量释放使溶腔内部水压对隔水岩层的力学强度影响显著。3) 当掌子面开挖后,形成新的临空面,在爆破振动影响下,围岩损伤及岩体内部裂纹扩展,影响岩石的完整性和力学性能,在临空面逐渐接近含水溶腔过程中,隔水岩层厚度减少,裂隙渗透水压增大,在溶腔内渗透水压的推力作用下,使溶腔水渗流过程中产生渗透力对流过的裂隙通道产生冲刷作用,牵引裂隙间填充颗粒移动,并且作用越来越强烈,使裂隙通道路径扩展,在溶腔水压和渗透力的共同作用下,加速涌水通道贯通,岩体局部丧失隔水能力诱发隧道涌水,形成规模不大的裂隙带渗透冲刷失稳管道型涌水。据此,提出该隧道涌水致灾形成的3个基本构成要素,即地表集水、地质构造以及渗透水压。
3 隧道涌水致灾机理及影响分析
3.1 模型建立
为进一步分析涌水致灾机理,根据隧道涌水特征,假设距离隧道顶部上方深度H位置潜伏一内部水压为pw的含水溶腔,在溶腔内部水压及渗透作用下,溶腔水顺着贯穿的裂隙通道向下渗流,以此建立隧道涌水概化模型,如图6所示。同时,将涌水通道简化为竖向圆柱体,假设含水溶腔底为零界面,建立裂隙通道内部微单元力学模型,如图7所示。


3.2 极限平衡分析
根据图7所示,以裂隙通道微单元Δh作为研究对象,则微元体自重ΔGs为:

式中:ΔGs为裂隙填充介质微元体自重,kN;D为裂隙通道直径,m;γs为填充介质容重,kN/m3;Δh为裂隙通道微元厚度,m。
忽略部分水流进入涌水通道内壁微裂缝中,认为渗流过程只发生在涌水通道内,形成连续渗流,则微元内部渗透力ΔFw为:

式中:ΔFw为微元体内部渗透力,kN;h0为含水溶腔底面基线水位,m;H为含水溶腔底到隧道顶部的距离,m;γw为溶腔水的容重,kN/m3。
不考虑岩体施工扰动,根据摩尔库伦理论,该微元体剪切面上任意点的抗剪强度为:

式中:τf为岩体侧面剪应力,kPa;σn为岩体侧面法向应力,kPa;c为填充介质黏聚力,kPa;φ为内摩擦角,(°);
考虑裂隙间为均质填充材料,有:

于是,得到单元圆柱体侧面摩擦力Δf为:

式中:K0为侧压力系数,一般取K0=1-sinφ;Δf为单元接触面摩阻力,kN;x为分析点到零界面的距离,m,在含水溶腔底至隧道顶之间(H内)变化;ΔF(x)为分析点至微元体内部所受的支撑作用力,kN;
根据极限平衡理论,涌水裂隙通道内充填颗粒的极限平衡方程为:

即:

化简:

令:


则:

解得:

根据边界条件

于是:

令

即为临界安全厚度计算一般表达式。
于是,得到隧道涌水稳定判据:

可见,抗突涌临界安全厚度主要影响因素有充填介质材料性质、裂隙通道直径、水头压力、含水溶腔赋存位置及规模等。
3.3 单因素变量法参数影响分析
以该隧道涌水案例为例,根据地勘报告,该段位于岩性接触带和裂缝带附近,处于Ⅳ级与Ⅲ级围岩过渡段,地质构造影响严重,节理裂隙较发育,裂缝充填介质为泥质粉砂岩和角砾岩,岩石单轴饱和抗压强度为24.0~37.3 MPa,取重度

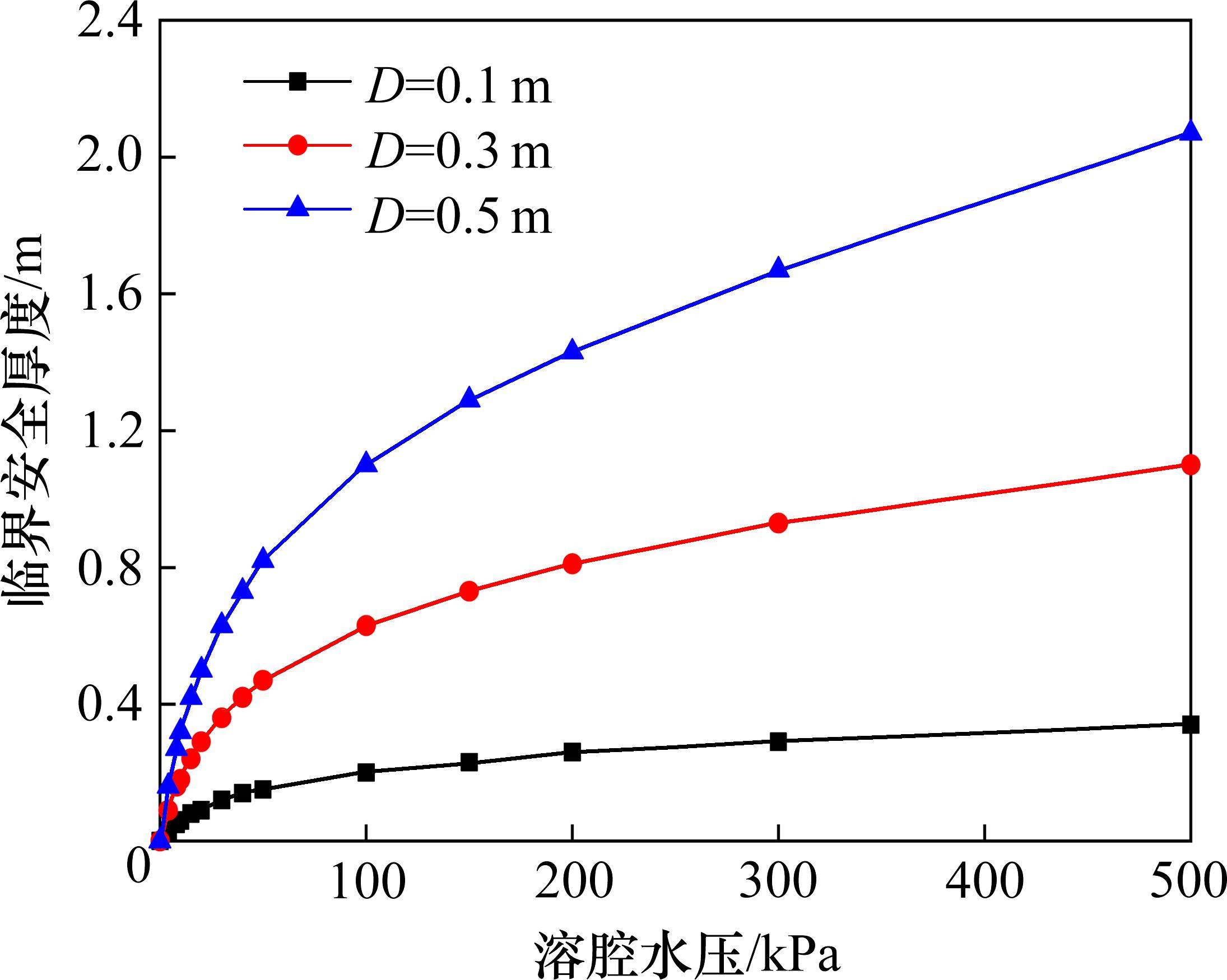
3.3.1 溶腔水压影响
选定裂隙充填介质重度


从图8可以看出,随着含水溶腔水压pw的增加,临界安全厚度x逐渐增大至趋向平稳,当pw一定时,随着裂隙通道直径D的增加,隧道抗突涌临界安全厚度增量变化越大,非线性变化关系越显著。这表明含水溶腔水压力越大,对抗涌水临界安全厚度影响越大,隧道涌水风险越高,这一点与李利平[9]的研究结论相符。可见,在分析临界安全厚度时考虑水头压力大小的影响很有必要。
3.3.2 裂隙通道直径影响
选定裂隙充填介质重度


从图9可以看出,临界安全厚度x随着裂隙通道直径D的增大而增大,主要原因是裂隙通道直径越大,渗流水压力就越大,细小颗粒填充物越容易随着水流运动而产生迁移流失,越有利于裂隙涌水通道贯通。此外,当裂隙通道直径D不变时,填充介质黏聚力c越大,岩体内部咬合力越强,抗涌水临界安全厚度越小,隧道施工稳定性越好。可见,隧道围岩等级越低,岩体性状就越差,越不利于安全施工,说明合理的施工方法及支护设计对隧道不同围岩等级施工安全至关重要。
3.3.3 黏聚力影响
选定裂隙充填介质重度


从图10可以看出,临界安全厚度x随着黏聚力c的增大而减少,黏聚力较小时,对临界安全厚度影响显著,达到某一数值后,其影响变得不再明显。当c一定时,随着裂隙通道直径D的增加,临界安全厚度减少量变化较小。可见,黏聚力c越大,即围岩等级越高,计算临界安全厚度越小,越有利于隧道开挖稳定,这一点与实际情况相符。
3.3.4 内摩擦角影响
选定裂隙充填介质重度


从图11可以看出,临界安全厚度x随着内摩擦角φ的增大呈缓慢减少变化趋势,其影响效果甚小。当黏聚力越大,内摩擦角变化对临界安全厚度影响变得越不明显,基本近似水平。此外,当内摩擦角φ一定时,随着黏聚力的增加,临界安全厚度逐渐减小,且减少量变化差异很小。可见,填充介质黏聚力相比内摩擦角的影响程度要显著。
3.4 灰色关联法参数敏感性分析
3.4.1 建立比较矩阵和参考矩阵
为进一步探讨参数影响的敏感性,根据推导的隧道抗突涌临界安全厚度计算公式,采用单因素控制变化法分别计算填充介质黏聚力c、内摩擦角φ、裂隙通道直径D和溶腔水位高度h0,得到各参数变化值对应的隧道抗突涌临界厚度。将以上4个因素作为比较矩阵X,将抗突涌临界安全厚度作为参考矩阵Y。即:


3.4.2 无量纲化
采用极差法进行归一化处理,即得到归一化矩阵:


3.4.3 计算关联系数
根据计算公式:


令:


根据关联系数计算公式:

式中:ρ为分辨系数,0∈(0,1),ρ越小,关联系数差异越大,区分能力越强。通常取ρ=0.5。

3.4.4 计算关联度
根据关联度计算公式:

式中:ri为关联度,ri∈[0,1]。若计算结果更接近于1,则说明影响因子对结构的影响更敏感;否则,越接近0,该影响因子越不敏感。
则得到关联度矩阵R:

3.4.5 敏感性评价
对于隧道抗突涌水临界安全厚度,根据关联度计算结果,各影响因素的敏感性大小依次为:裂隙通道直径>溶腔水位高度>填充介质黏聚力>内摩擦角。裂隙通道直径对隧道抗突涌临界厚度的影响最大,内摩擦角的影响最小,说明裂隙通道直径对隧道安全稳定的影响最大,内摩擦角的影响最小。
4 结论
1) 从地质特征、围岩揭露、雷达探测、地质勘察资料及涌水形态演变历程多角度出发,揭露了此次隧道涌水致灾原因,提出该隧道涌水灾害形成的3个基本要素,即地表集水、地质构造及渗透水压。
2) 构建了下穿水库及穿越断层的隧道涌水概化模型及力学模型,推导了隧道涌水临界安全厚度计算公式,提出了隧道抗突涌水稳定性判据。
3) 溶腔水压大小、裂隙通道直径及填充介质强度对临界安全厚度的影响机理不同,临界安全厚度随着含水溶腔水压与裂隙通道直径的增加而增大,随着填充介质黏聚力的增大而减小,随着内摩擦角的增大其影响甚小。
4) 通过本案例分析,得到隧道抗突涌临界厚度主要影响因素的敏感性排序先后为:裂隙通道直径>溶腔水位高度>填充介质黏聚力>内摩擦角,裂隙通道直径对隧道安全稳定影响最大,内摩擦角影响最小。
Dynamic simulation of the water inrush process in tunnel construction using a three-dimensional coupled discontinuous deformation analysis and smoothed particle hydrodynamics method
[J]. Tunnelling and Underground Space Technology, 2022, 127: 104612.蔡子勇,乔世范,刘屹颀.复杂环境下隧道施工涌水致灾机理及影响分析[J].铁道科学与工程学报,2024,21(12):5140-5150.
CAI Ziyong,QIAO Shifan,LIU Yiqi.Analysis of disaster mechanism and influence of water inrush in tunnel construction under complex environment[J].Journal of Railway Science and Engineering,2024,21(12):5140-5150.

